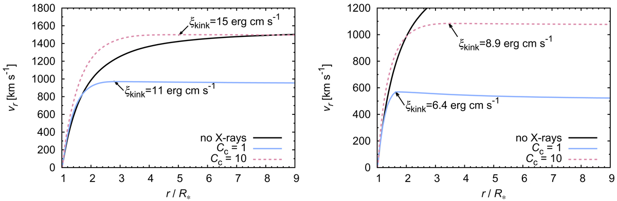
Fig. 3.

Radial velocity for selected wind models 300-1. The black line denotes the model without either X-ray irradiation or clumping, while blue and red lines denote models with the same X-ray irradiation (with the same LX and D) and different clumping: without clumping (blue solid) and with Cc = 10 (red dashed). Here the clumping is allowed to affect the ionization structure only directly and not via the mean density (mass-loss rate). Overplotted is the value of the ionization parameter Eq. (12) at the location of the velocity kink. Left panel: model with LX = 1036 erg s−1 and D = 200 R⊙. Right panel: model with LX = 1038 erg s−1 and D = 700 R⊙.
Current usage metrics show cumulative count of Article Views (full-text article views including HTML views, PDF and ePub downloads, according to the available data) and Abstracts Views on Vision4Press platform.
Data correspond to usage on the plateform after 2015. The current usage metrics is available 48-96 hours after online publication and is updated daily on week days.
Initial download of the metrics may take a while.