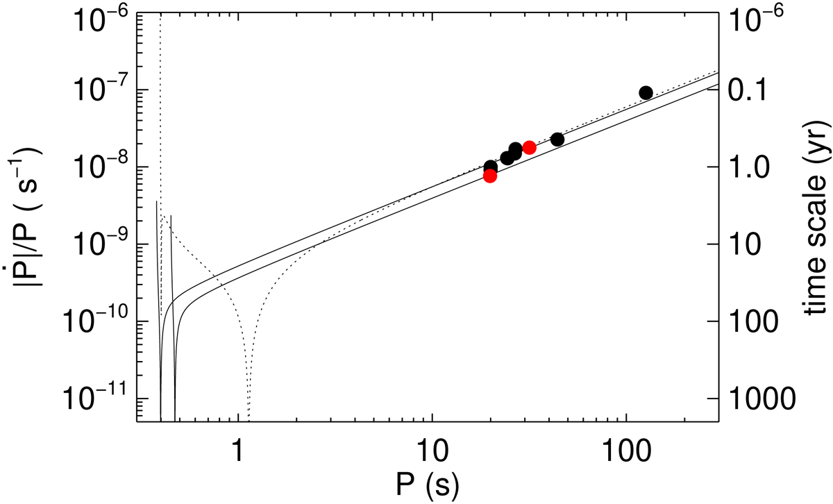
Fig. 3.

|Ṗ|/P vs. P for NGC 300 ULX1. Solid black lines denote the solution using the W95 approximation while assuming a constant LX. The two solutions based on the derived values from the two data sets (red points) with best statistics (2016 & 2018) presented in Table 1. The Ghosh & Lamb (1979) model prediction is plotted (dotted line) for comparison using the observed 2016 LX. All model lines assume neff = 100%.
Current usage metrics show cumulative count of Article Views (full-text article views including HTML views, PDF and ePub downloads, according to the available data) and Abstracts Views on Vision4Press platform.
Data correspond to usage on the plateform after 2015. The current usage metrics is available 48-96 hours after online publication and is updated daily on week days.
Initial download of the metrics may take a while.