Free Access
Fig. A.2

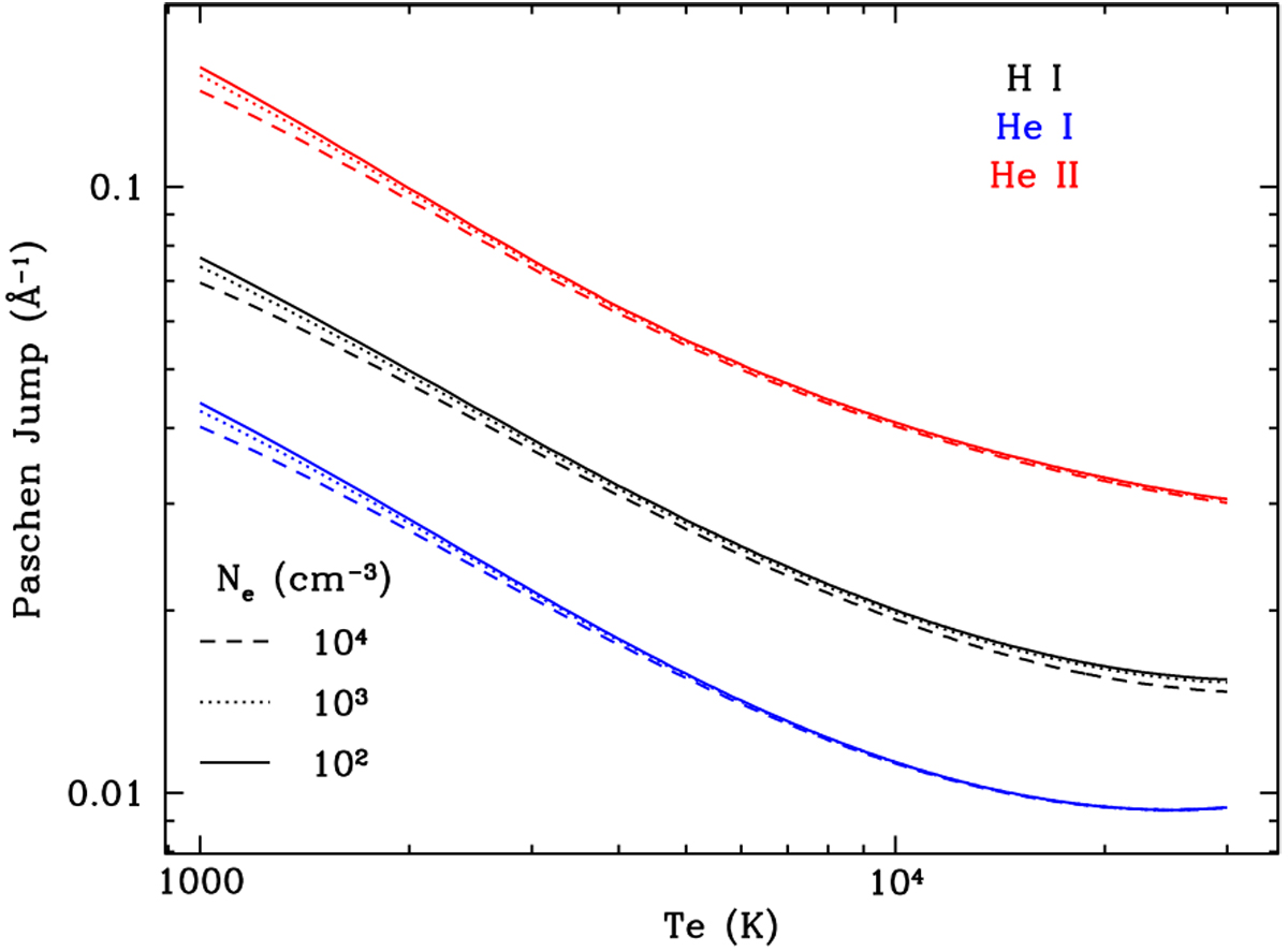
Variation of the jump around 8200 Å for H I, He I and He II as defined in the text with Te for several values of Ne (102, 103 and 104 cm−3) is shown in a log–log plot.
Current usage metrics show cumulative count of Article Views (full-text article views including HTML views, PDF and ePub downloads, according to the available data) and Abstracts Views on Vision4Press platform.
Data correspond to usage on the plateform after 2015. The current usage metrics is available 48-96 hours after online publication and is updated daily on week days.
Initial download of the metrics may take a while.