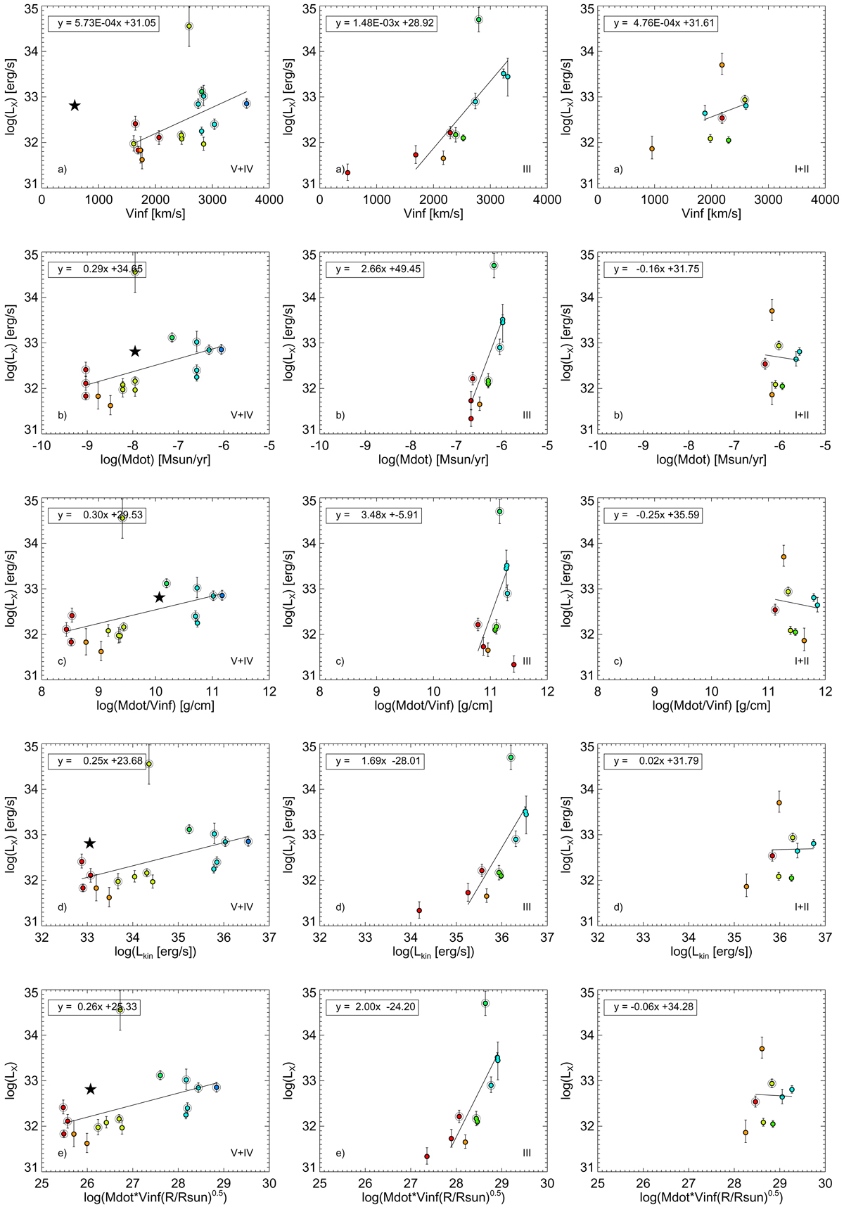
Fig. 12.

X-ray luminosity as a function of wind parameters. Only the stars with wind velocities measured from the UV spectra are shown. The mass-loss rates are uncertain within a factor of 2–3 due to systematic errors, i.e., Δlog Ṁ ≈ 0.3−0.5 (see Sect. 3.4 for a discussion on errors). From left to right columns: results for dwarfs, giants, and supergiants. First row from the top: correlations with wind terminal velocity; second row from the top: dependence on mass-loss rate calculated using the empirical SpT–Ṁ relations derived in Sect. 3.4; middle row: dependence on wind density; fourth row from the top: dependence on wind kinetic luminosity; bottom row: dependence of X-ray luminosity on modified stellar wind momentum. The color coding of different spectral subtypes is the same as in Fig. 5. Linear fits are shown with a line.
Current usage metrics show cumulative count of Article Views (full-text article views including HTML views, PDF and ePub downloads, according to the available data) and Abstracts Views on Vision4Press platform.
Data correspond to usage on the plateform after 2015. The current usage metrics is available 48-96 hours after online publication and is updated daily on week days.
Initial download of the metrics may take a while.