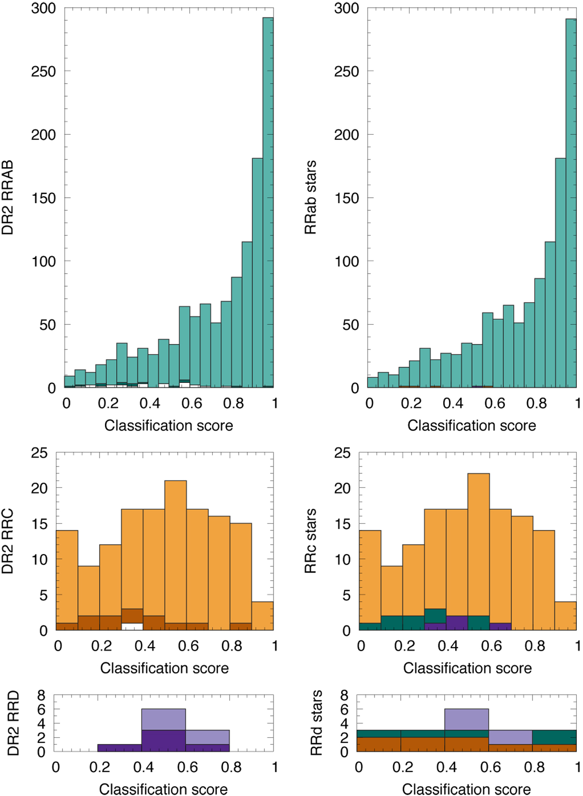
Fig. 8

Distribution of the various classification scores of the RR Lyrae subtypes. Left panels: Gaia DR2 classification type; right panels:as classified based on the K2 data. The distribution is skewed towards score values of 1.0 for RRab stars but is flat for RRc and RRd stars. Light green, orange, and pale violet mark bona fide RRab, RRc, RRd stars, respectively. Dark green, brown, and dark lilac denote stars that we classified into a different subclass (which are distributed in different panels on the right-hand side). White bars refer to the counts of stars for which the RR Lyrae variability was not confirmed or was rejected.
Current usage metrics show cumulative count of Article Views (full-text article views including HTML views, PDF and ePub downloads, according to the available data) and Abstracts Views on Vision4Press platform.
Data correspond to usage on the plateform after 2015. The current usage metrics is available 48-96 hours after online publication and is updated daily on week days.
Initial download of the metrics may take a while.