Fig. 1.

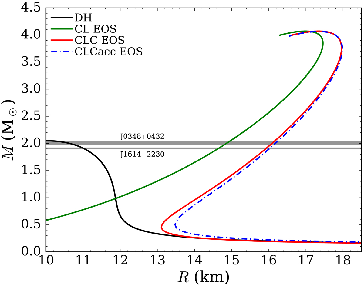
Mass–radius relations for non-rotating stars for the CL EOS with ρu = ρ0, the CL EOS with two crust models connected at ρu = ρ0: the catalysed crust from Douchin & Haensel (2001) (CLC EOS) and the accreted crust from Haensel & Zdunik (2008) (CLCacc EOS). For reference we plot the M–R relation obtained for the DH EOS. The horizontal lines correspond to the highest observed maximum mass for PSR J1614–2230 and PSR J0348+0432.
Current usage metrics show cumulative count of Article Views (full-text article views including HTML views, PDF and ePub downloads, according to the available data) and Abstracts Views on Vision4Press platform.
Data correspond to usage on the plateform after 2015. The current usage metrics is available 48-96 hours after online publication and is updated daily on week days.
Initial download of the metrics may take a while.