Free Access

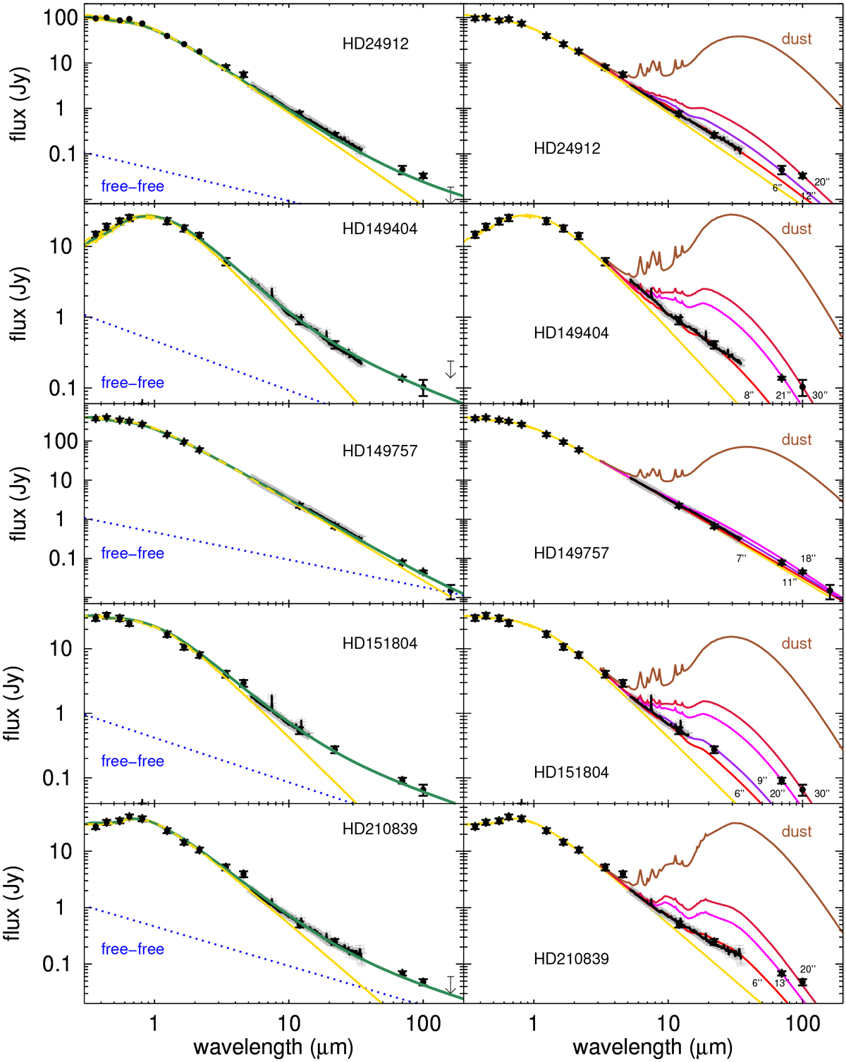
Fig. 5

image

SED of massive stars. The total emission is fit by adding to the photosphere (yellow) either free–free (left blue dotted lines) or dust emission in apertures as labelled (right red-brown lines). Data (black) are from optical catalogues as available at VizieR/CDS, 2MASS, WISE, Spitzer/IRS, and Herschel/PACS with 1σ error bars and 3σ upper limits.

Current usage metrics show cumulative count of Article Views (full-text article views including HTML views, PDF and ePub downloads, according to the available data) and Abstracts Views on Vision4Press platform.

Data correspond to usage on the plateform after 2015. The current usage metrics is available 48-96 hours after online publication and is updated daily on week days.

Initial download of the metrics may take a while.