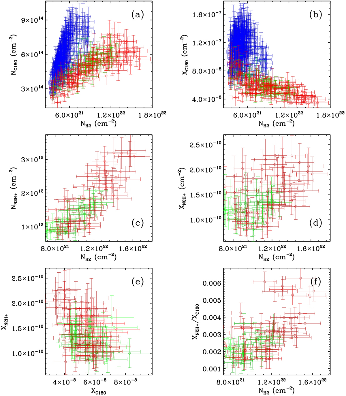
Fig. 5

Panel a: C18O column densities as a function of H2 column densities. Panel b: C18O fractional abundances as a function of H2 column densities. Panel c: similar to Fig. 5a but for N2H+ column densities. Panel d: similar to Fig. 5b, but for N2H+ fractional abundances. Panel e: C18O fractional abundances as a function of N2H+ fractional abundances. Panel f: N2H+/C18O abundance ratios as a function of H2 column densities. In all panels, the values of NW, SE, and EX are shown with red, green, and blue symbols, respectively. In panels c–f, only data from NW and SE are presented.
Current usage metrics show cumulative count of Article Views (full-text article views including HTML views, PDF and ePub downloads, according to the available data) and Abstracts Views on Vision4Press platform.
Data correspond to usage on the plateform after 2015. The current usage metrics is available 48-96 hours after online publication and is updated daily on week days.
Initial download of the metrics may take a while.