Free Access
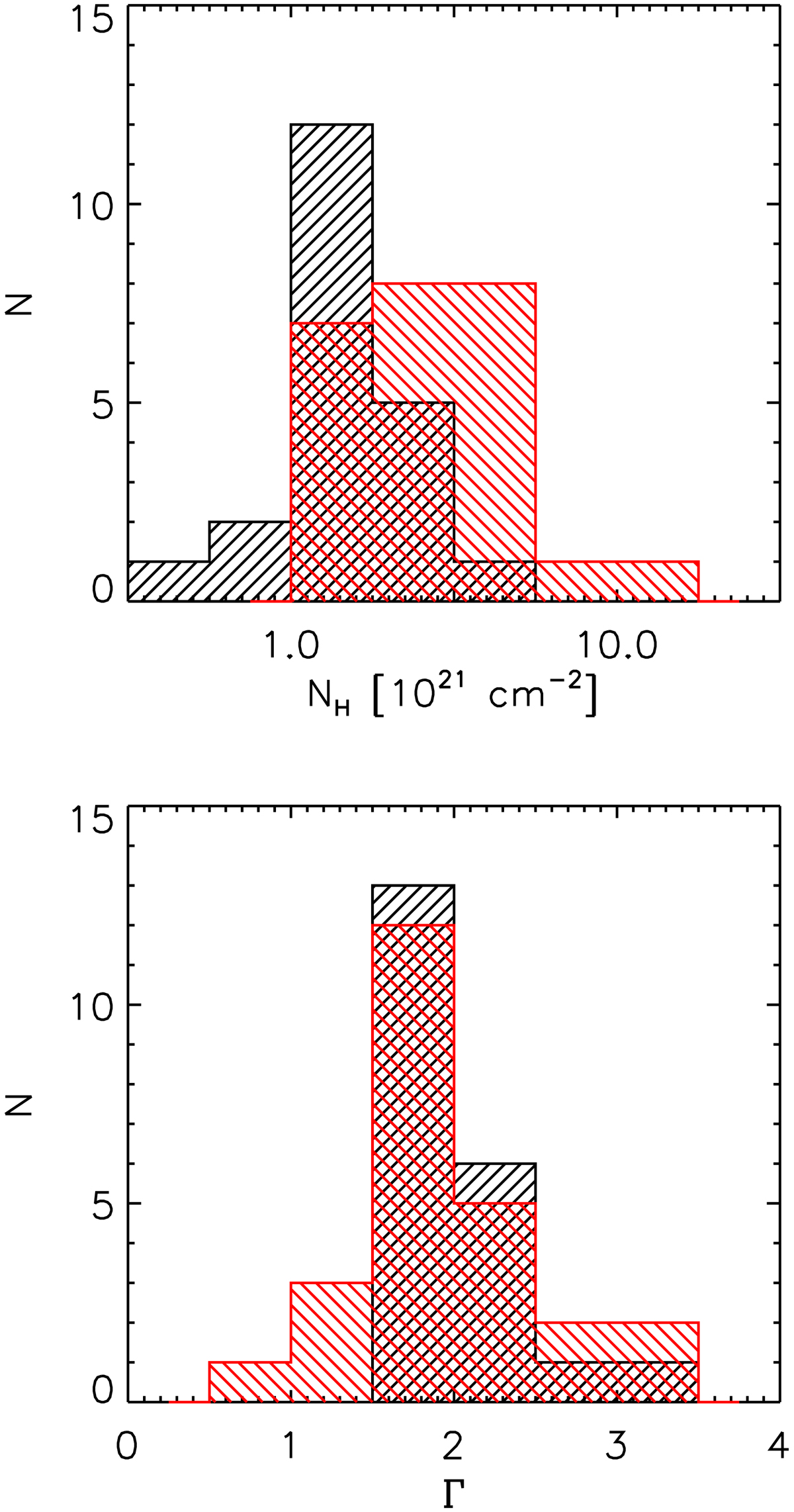
Fig. 4.

Histograms showing the distribution of spectral fit parameters NH (Galactic and additional NH combined) and Γ for XMM-Newton sources suggested to be located in M 31 (black) and to be background sources (red) based on PHAT data.
Current usage metrics show cumulative count of Article Views (full-text article views including HTML views, PDF and ePub downloads, according to the available data) and Abstracts Views on Vision4Press platform.
Data correspond to usage on the plateform after 2015. The current usage metrics is available 48-96 hours after online publication and is updated daily on week days.
Initial download of the metrics may take a while.