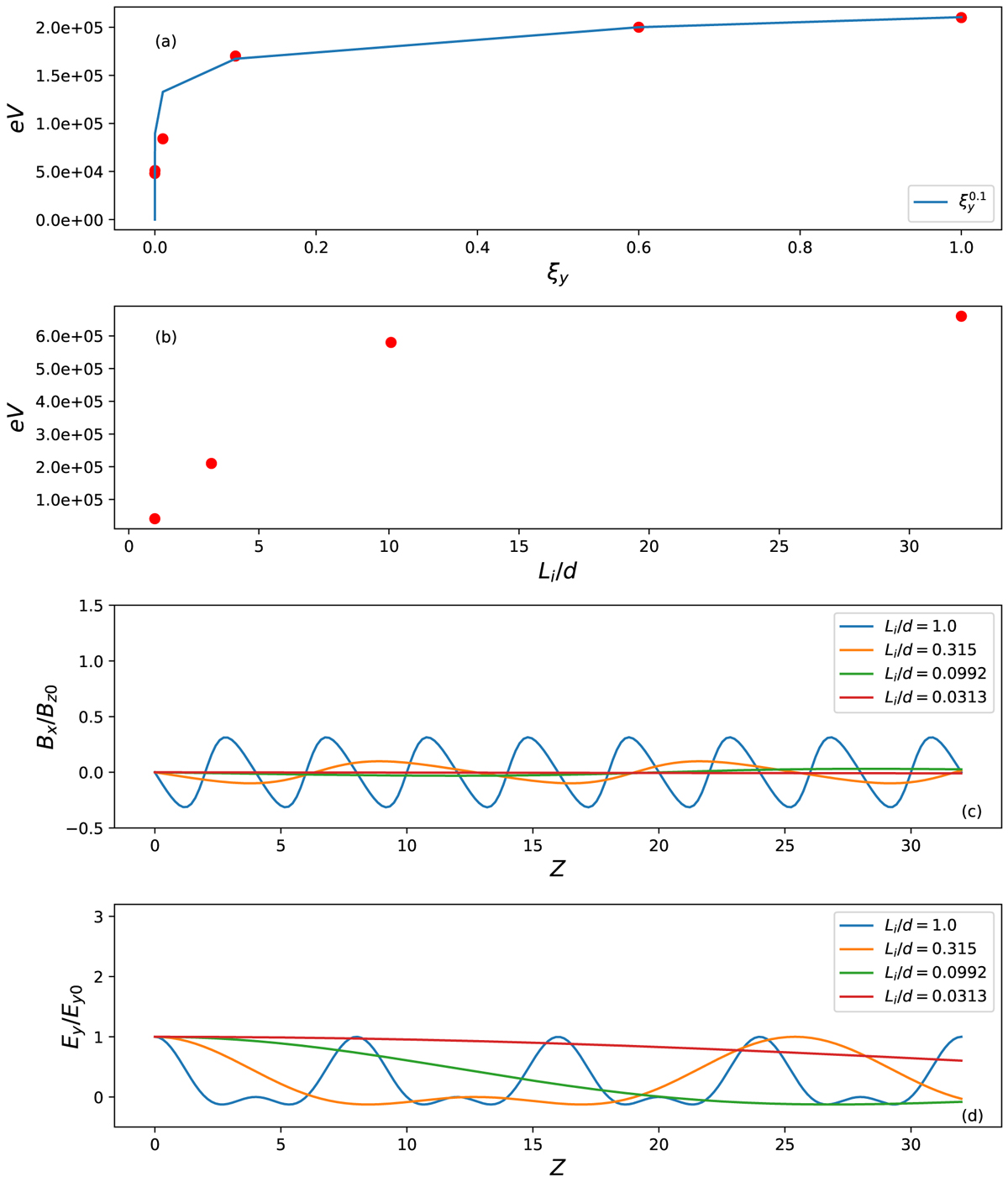
Fig. 13.

Panel a: energy gains by the escaping electrons (measured when they leave the first trapped island) vs. the guiding field magnitude: ξy = 0.0, 10−4, 10−2, 0.1, 0.6, 1.0. The other parameters are: Ey0 = 100 V m−1, Bz0 = 100G, ϵ = 0.3, d = 2 m, k = 0.03125. Panel b: energy gains by the escaping electrons vs. the half length of the islands: Li = 2 m, 6.4 m, 20 m, 64 m. Panel c: fluctuation of Bx on the x = 0 m plane for different aspect ratios Li/d (k−1). Panel d: corresponding fluctuation of Ey on the x = 0 plane. The other parameters are: Ey0 = 100 V m−1, Bz0 = 100G, ξy = 1.0, ϵ = 0.3, d = 2 m.
Current usage metrics show cumulative count of Article Views (full-text article views including HTML views, PDF and ePub downloads, according to the available data) and Abstracts Views on Vision4Press platform.
Data correspond to usage on the plateform after 2015. The current usage metrics is available 48-96 hours after online publication and is updated daily on week days.
Initial download of the metrics may take a while.