Free Access

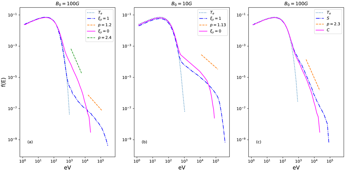
Fig. 15.

image

Energy spectra of electrons accelerated during t = 8 × 10−5 s in the coalescent islands with magnetic field magnitudes: panel a: B0 = 100 G, and panel b: B0 = 10 G: Both ξy = 0 (the blue dash-dotted line) and ξy = 1 (red lines) cases are compared in the same plot. Panel c: energy spectrum of electrons in squashed (“S”) islands (blue dash-dotted line) with ξy = 0. For comparison, the spectrum of the ξy = 0 case in panel a from coalescent islands (“C”) is also plotted as a background. The green dotted lines indicate the initial thermal distribution with T0 = 100 eV. The other parameters are as follows: Ey0 = 100 V m−1, ϵ = 0.3, k = 0.03125, d = 2 m. We note that the dashed lines show only the referral power-law indexes in different cases and do not represent the whole fitting range of energies gained (up to three orders of magnitude on the plot).

Current usage metrics show cumulative count of Article Views (full-text article views including HTML views, PDF and ePub downloads, according to the available data) and Abstracts Views on Vision4Press platform.

Data correspond to usage on the plateform after 2015. The current usage metrics is available 48-96 hours after online publication and is updated daily on week days.

Initial download of the metrics may take a while.