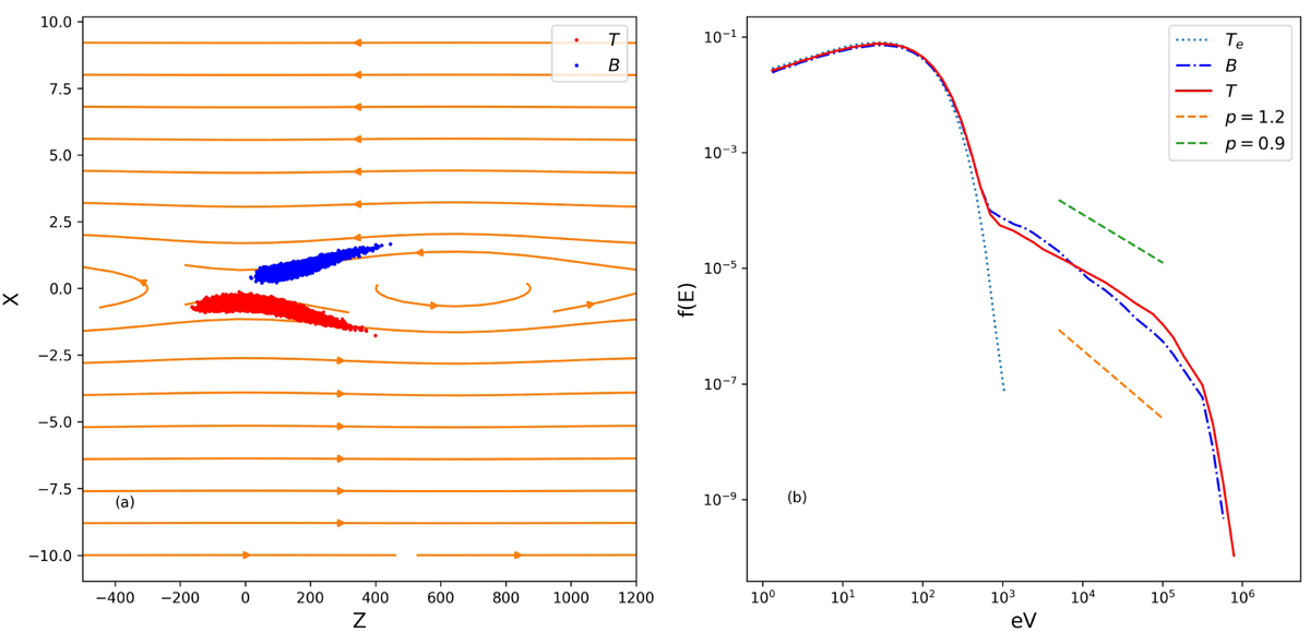
Fig. 16.

Panel a: positions of transit (blue dots) and bounced (purple dots) particles (with EeV > 103 eV) at early acceleration stage, t = 10−5 s. Panel b: energy spectra of transit and bounced particles show that they have different spectral index: p = 0.9 and p = 1.2, respectively. The parameters for the simulated magnetic islands are identical to those in Fig. 12. The other parameters are: Ey0 = 100 V m−1, ϵ = 0.3, k = 0.003125, d = 2 m.
Current usage metrics show cumulative count of Article Views (full-text article views including HTML views, PDF and ePub downloads, according to the available data) and Abstracts Views on Vision4Press platform.
Data correspond to usage on the plateform after 2015. The current usage metrics is available 48-96 hours after online publication and is updated daily on week days.
Initial download of the metrics may take a while.