Free Access
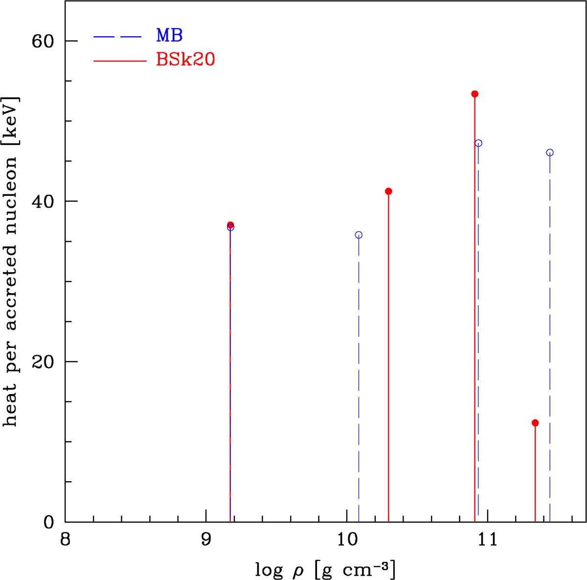
Fig. 6.

Heat sources in the outer crust of accreting NS. Comparison between the model of MB and the HFB mass model using the BSk20 EDF.
Current usage metrics show cumulative count of Article Views (full-text article views including HTML views, PDF and ePub downloads, according to the available data) and Abstracts Views on Vision4Press platform.
Data correspond to usage on the plateform after 2015. The current usage metrics is available 48-96 hours after online publication and is updated daily on week days.
Initial download of the metrics may take a while.