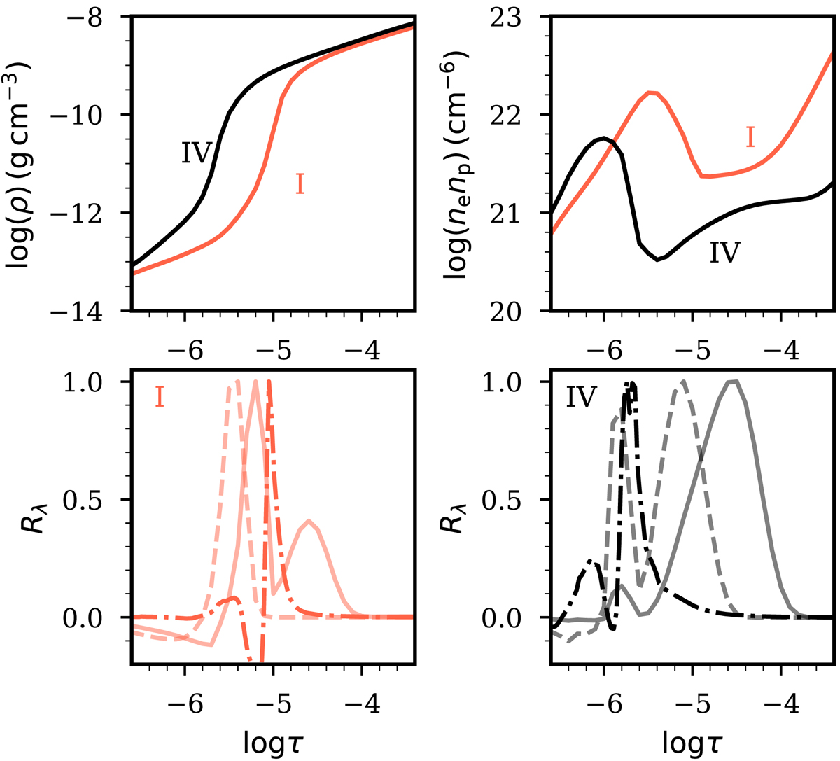
Fig. 9.

Mass density, electron-proton number density and response functions to temperature of the mm-continuum and Mg II h. Top: mass-density and electron-proton number density at the magnetic (I) and non-magnetic locations (IV) marked in Fig. 8. Bottom: normalized response functions of the 1.2 mm (solid) and 3 mm-continuum (dashed) and Mg II h core (dashed-dot) at location I (left) and IV (right).
Current usage metrics show cumulative count of Article Views (full-text article views including HTML views, PDF and ePub downloads, according to the available data) and Abstracts Views on Vision4Press platform.
Data correspond to usage on the plateform after 2015. The current usage metrics is available 48-96 hours after online publication and is updated daily on week days.
Initial download of the metrics may take a while.