Press Release
Free Access

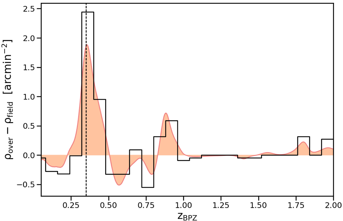
Fig. 4.

image

Difference between the photometric redshift distribution of galaxies within 1′ of PLCK_G165.7+49.0, and the distribution obtained in the rest of the 5′ × 5′ field, both normalized to the same area (black histogram). This shows a strong excess of sources in the inner field, which is consistent with z ≃ 0.35 (dotted vertical line). We used only the most robust photometric redshifts, and show the sum of their redshift probability distribution functions obtained with BPZ (in orange).

Current usage metrics show cumulative count of Article Views (full-text article views including HTML views, PDF and ePub downloads, according to the available data) and Abstracts Views on Vision4Press platform.

Data correspond to usage on the plateform after 2015. The current usage metrics is available 48-96 hours after online publication and is updated daily on week days.

Initial download of the metrics may take a while.