Free Access

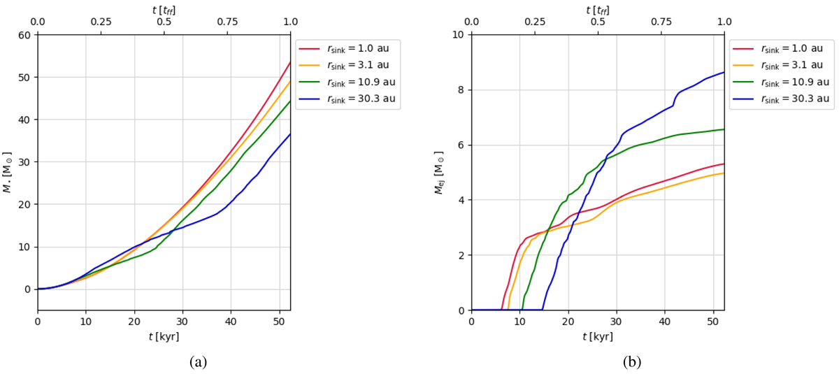
Fig. 11.

image

Convergence properties of the accreted and ejected mass for different sink-cell sizes. Panel a: protostellar mass as a function of time. Panel b: mass ejected from the computational domain as a function of time.

Current usage metrics show cumulative count of Article Views (full-text article views including HTML views, PDF and ePub downloads, according to the available data) and Abstracts Views on Vision4Press platform.

Data correspond to usage on the plateform after 2015. The current usage metrics is available 48-96 hours after online publication and is updated daily on week days.

Initial download of the metrics may take a while.