Free Access
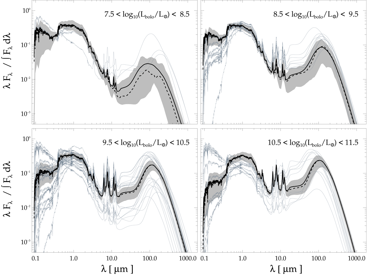
Fig. 9.

Average (solid black lines) and median (dashed black lines) SEDs for four bins in Lbolo defined in Table 2 for galaxies later than Sb. For each sub-sample, we excluded from the template generation the 10% objects showing the most deviant SEDs (shown by grey lines). The shaded area delimits the 16 and 84% percentiles.
Current usage metrics show cumulative count of Article Views (full-text article views including HTML views, PDF and ePub downloads, according to the available data) and Abstracts Views on Vision4Press platform.
Data correspond to usage on the plateform after 2015. The current usage metrics is available 48-96 hours after online publication and is updated daily on week days.
Initial download of the metrics may take a while.