Free Access

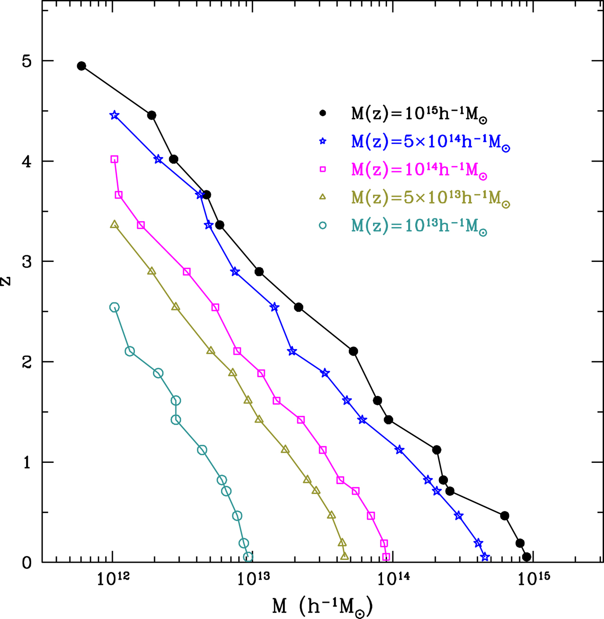
Fig. 8.

image

Evolution of halo mass M with redshift z for five mass samples. Filled circles show the average evolutionary track of haloes with the current mass of 1015 h−1 M ± 10%. Stars correspond to average mass 5 × 1014 h−1 M, open squares correspond to mass 1014 h−1 M, open triangles to mass 5 × 1013 h−1 M, and open circles to mass 1013 h−1 M.

Current usage metrics show cumulative count of Article Views (full-text article views including HTML views, PDF and ePub downloads, according to the available data) and Abstracts Views on Vision4Press platform.

Data correspond to usage on the plateform after 2015. The current usage metrics is available 48-96 hours after online publication and is updated daily on week days.

Initial download of the metrics may take a while.