Free Access

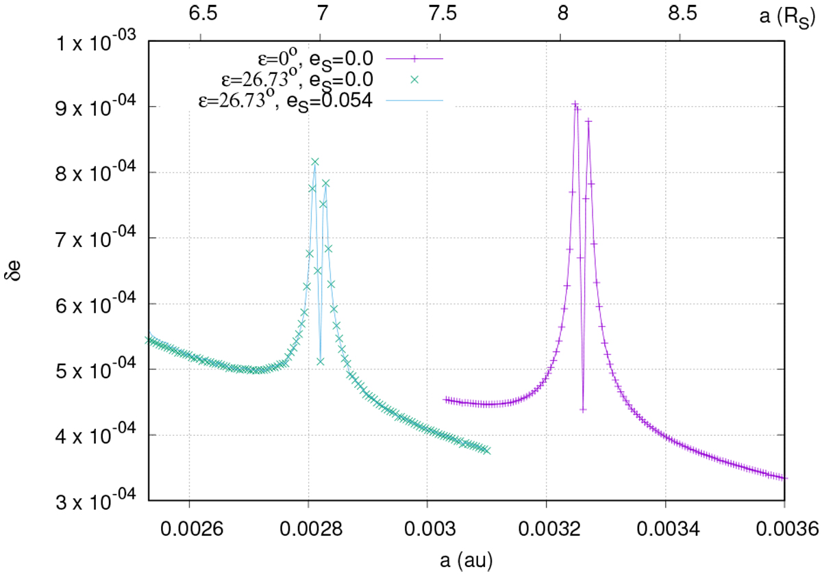
Fig. 9

image

Value of δe as a function of the distance from the planet in the region of the inner evection and for e = 0. The curve in violet corresponds to the case of an obliquity ϵS = 0° and orbital eccentricity eS = 0° for Saturn. The green dots correspond to the case of ϵS = 26.73°, either with eS = 0° or eS = 0.054°. The minimum inside the peak of the curves marks the center of the evection resonance.

Current usage metrics show cumulative count of Article Views (full-text article views including HTML views, PDF and ePub downloads, according to the available data) and Abstracts Views on Vision4Press platform.

Data correspond to usage on the plateform after 2015. The current usage metrics is available 48-96 hours after online publication and is updated daily on week days.

Initial download of the metrics may take a while.