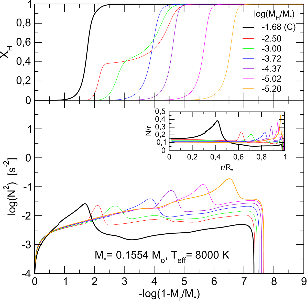
Fig. 2.

Chemical profiles of H for WD models with M⋆ = 0.1554 M⊙, Teff ∼ 8000 K and several thicknesses of H envelope (upper panel). Thick black line corresponds to the canonical envelope. Run of the logarithm of the squared Brunt–Väisälä frequency for each depicted model (lower panel). The inset shows the quantity N/r as a function of the radial coordinate, r, for the same WD models.
Current usage metrics show cumulative count of Article Views (full-text article views including HTML views, PDF and ePub downloads, according to the available data) and Abstracts Views on Vision4Press platform.
Data correspond to usage on the plateform after 2015. The current usage metrics is available 48-96 hours after online publication and is updated daily on week days.
Initial download of the metrics may take a while.