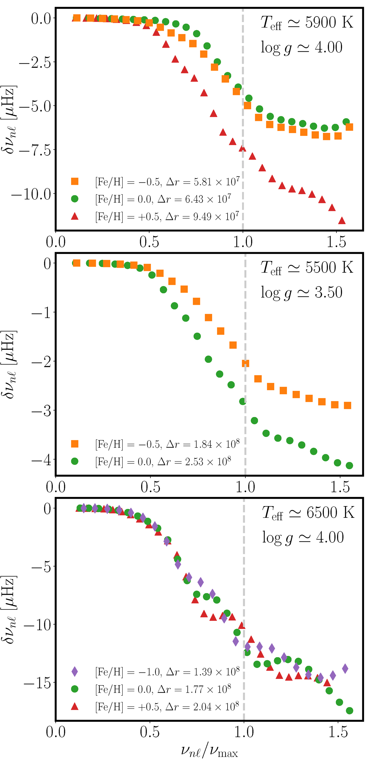
Fig. 2.

Frequency differences of PM vs. UPM for radial modes with frequencies less than the acoustic cut-off frequency νac = c/(4πHp). Frequencies on the abscissa are normalized by the νmax of each models. Top panel: models J*: Teff ≃ 5900 K and log g = 4.0. Middle panel: models M*: Teff ≃ 5500 K and log g = 3.5. Bottom panel: models C*: Teff ≃ 6500 K and log g = 4.0.
Current usage metrics show cumulative count of Article Views (full-text article views including HTML views, PDF and ePub downloads, according to the available data) and Abstracts Views on Vision4Press platform.
Data correspond to usage on the plateform after 2015. The current usage metrics is available 48-96 hours after online publication and is updated daily on week days.
Initial download of the metrics may take a while.