Free Access
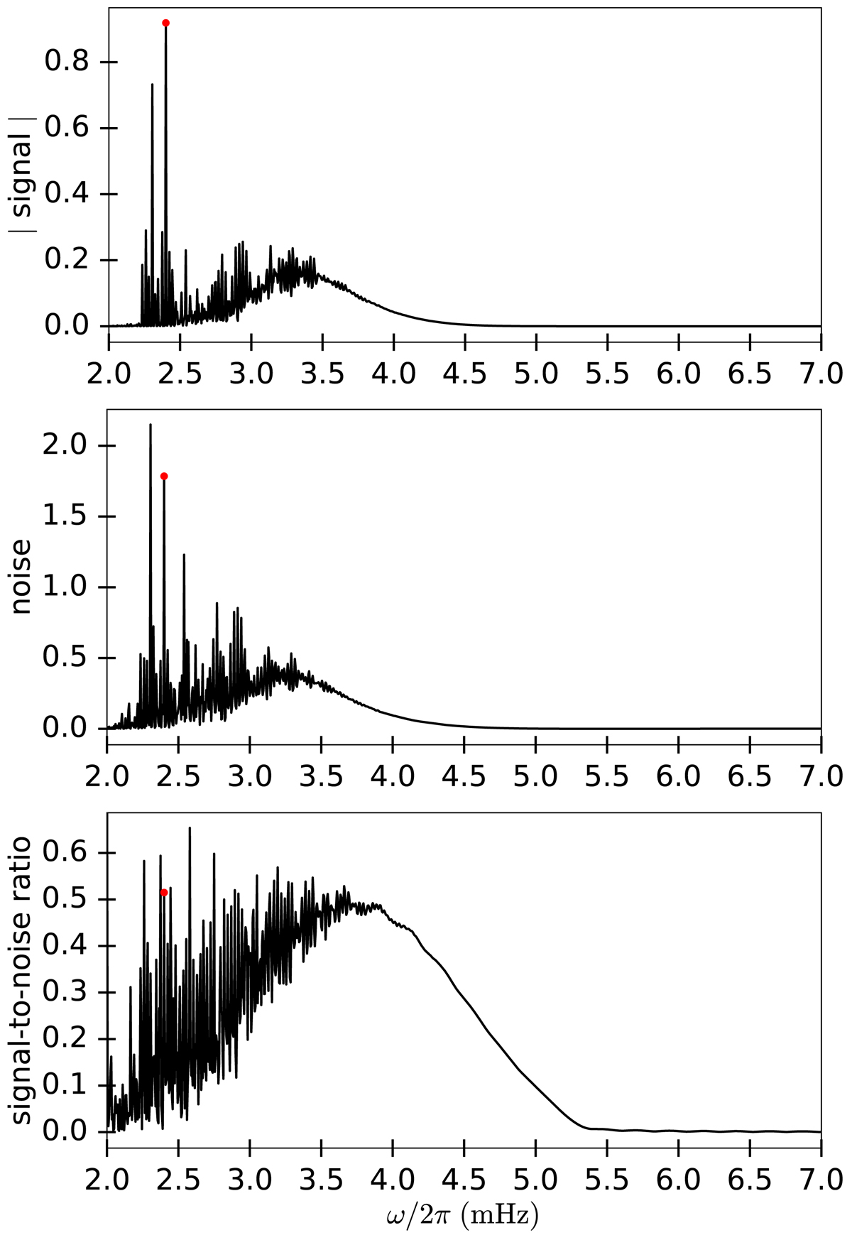
Fig. 7.

Signal, noise, and S/N as function of frequency for a sound-speed scatterer located at zs = 0.7 R⊙. Here we show the result for a frequency range of 2–7 mHz. The rapid changes are not due to numerical inaccuracies. The red dots indicate the values at frequency 2.4000 mHz.
Current usage metrics show cumulative count of Article Views (full-text article views including HTML views, PDF and ePub downloads, according to the available data) and Abstracts Views on Vision4Press platform.
Data correspond to usage on the plateform after 2015. The current usage metrics is available 48-96 hours after online publication and is updated daily on week days.
Initial download of the metrics may take a while.