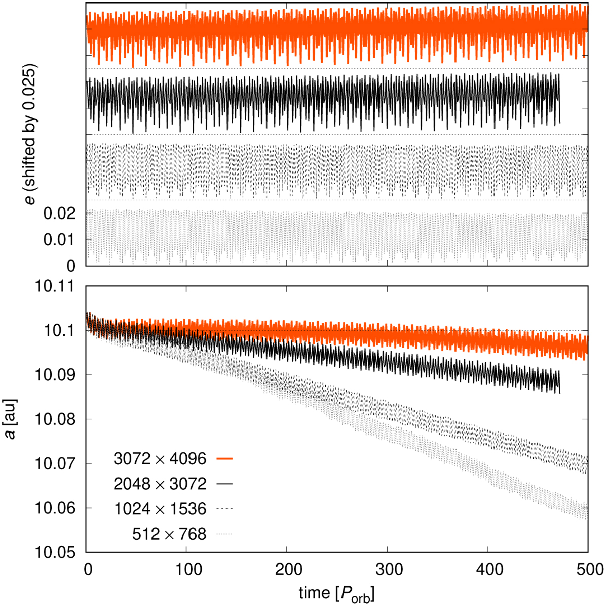
Fig. A.1

Temporal evolution of the semi-major axis (bottom panel) and the eccentricity (top panel) of a single low-mass 0.1 M⊕ embryo embedded in the gas and pebble discs, for four different discretisations in space, namely 512 × 768 cells in r and θ (i.e. a very low resolution), 1024 × 1536 (low), 2048 × 3072 (moderate), and 3072 × 4096 (high). Theamplitudes eccentricity oscillations are approximately the same for all cases, even though the torques have much larger amplitudes for very low and low resolutions. To obtain a correct value for the migration rate d a∕d t, one would need the moderate resolution at least. The rate da∕dt is about three times as large for the low resolution.
Current usage metrics show cumulative count of Article Views (full-text article views including HTML views, PDF and ePub downloads, according to the available data) and Abstracts Views on Vision4Press platform.
Data correspond to usage on the plateform after 2015. The current usage metrics is available 48-96 hours after online publication and is updated daily on week days.
Initial download of the metrics may take a while.