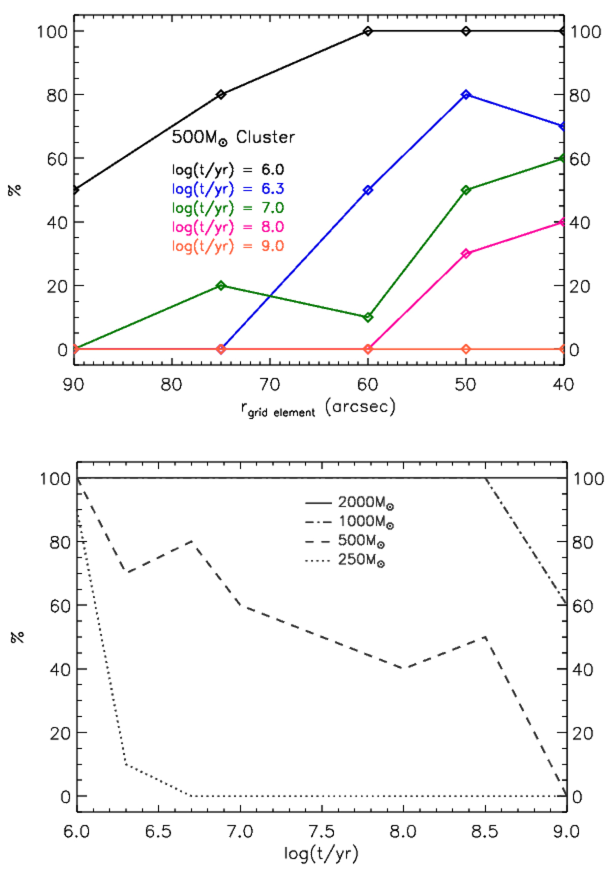
Fig. 8.

Top panel: detection percentages for 500 M⊙ clusters of different ages for grid-element radii from 90″ to 40″. A general increase in detection rates with decreasing radius is noticeable. A decrease in detection rates with increasing cluster age is evident as well. Bottom panel: detection percentages for clusters of four different masses across the age range from 1 Myr to 1 Gyr for the 40″ radius. A decrease in sensitivity for older ages and lower masses is apparent. Clusters more massive than 500 M⊙ show high detection rates for young ages.
Current usage metrics show cumulative count of Article Views (full-text article views including HTML views, PDF and ePub downloads, according to the available data) and Abstracts Views on Vision4Press platform.
Data correspond to usage on the plateform after 2015. The current usage metrics is available 48-96 hours after online publication and is updated daily on week days.
Initial download of the metrics may take a while.