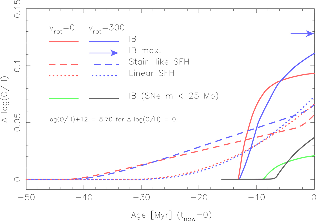
Fig. 6.

Time evolution of the logO/H variation obtained from solar metallicity chemical evolution models, using three different SFHs (an IB and two extended SFH, both with a difference of a factor of six between the actual SF value and the value 30 Myr ago, but with different shapes), and two SNe cases: one where all massive stars produce a SNe explosion and another where stars more massive than 25 M⊙ suffer a direct collapse to black holes (where only the IB case is shown). In all cases a star formation efficiency of 10% is assumed. The arrow in the top right shows the maximum enrichment reached by the three SFHs.
Current usage metrics show cumulative count of Article Views (full-text article views including HTML views, PDF and ePub downloads, according to the available data) and Abstracts Views on Vision4Press platform.
Data correspond to usage on the plateform after 2015. The current usage metrics is available 48-96 hours after online publication and is updated daily on week days.
Initial download of the metrics may take a while.