Free Access

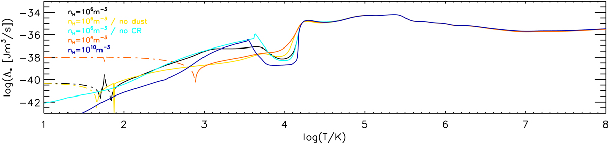
Fig. 12.

image

Impact of different gas densities and the absence of dust or cosmic rays on the net cooling function in chemical equilibrium. Dash-dotted lines indicate net heating, Λ* <  0.

Current usage metrics show cumulative count of Article Views (full-text article views including HTML views, PDF and ePub downloads, according to the available data) and Abstracts Views on Vision4Press platform.

Data correspond to usage on the plateform after 2015. The current usage metrics is available 48-96 hours after online publication and is updated daily on week days.

Initial download of the metrics may take a while.