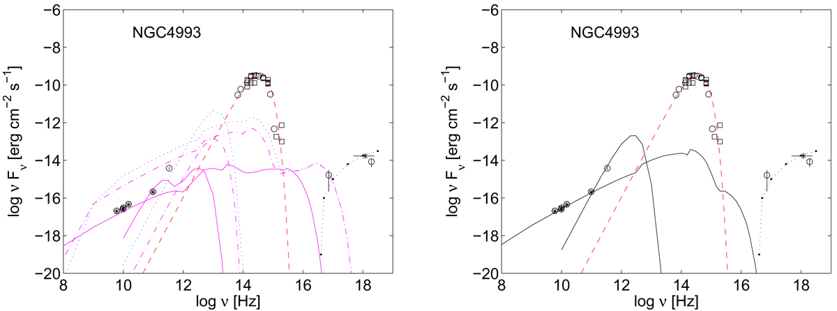
Fig. 1.

NGC 4993 SED data: Wu et al. (2018; open circles); Levan et al. (2017) (open squares); Blanchard et al. (2017) IR-optical (asterisks): AGN (from NGC 5252) flux in the X-rays (dots). bb flux corresponding to 4000 K (red dashed). Left: models modAGN2 (magenta dot-dashed), modSB (blue dotted) and modSD (magenta solid) Right: model modAGN1 (black solid); other symbols as in Fig. 1 left diagram. Each model is represented by two lines, one is the bremsstrahlung and the other is the dust reprocessed radiation. The models are described in Table 1.
Current usage metrics show cumulative count of Article Views (full-text article views including HTML views, PDF and ePub downloads, according to the available data) and Abstracts Views on Vision4Press platform.
Data correspond to usage on the plateform after 2015. The current usage metrics is available 48-96 hours after online publication and is updated daily on week days.
Initial download of the metrics may take a while.