Free Access

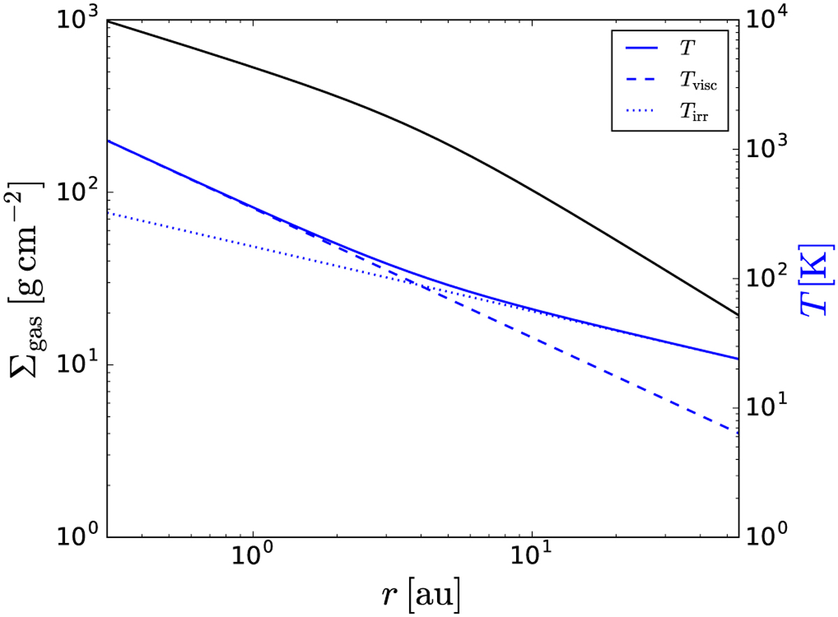
Fig. 1

image

Gas disk profiles for our fiducial model (Table 1). The black line corresponds to the gas surface density profile Σgas (Eq. (1); the solid blue line corresponds to the temperature profile T, which receives contributions from viscous heating (dashed blue line) and stellar irradiation (dotted blue line; Eq. (5)).

Current usage metrics show cumulative count of Article Views (full-text article views including HTML views, PDF and ePub downloads, according to the available data) and Abstracts Views on Vision4Press platform.

Data correspond to usage on the plateform after 2015. The current usage metrics is available 48-96 hours after online publication and is updated daily on week days.

Initial download of the metrics may take a while.