Free Access

Fig. 11

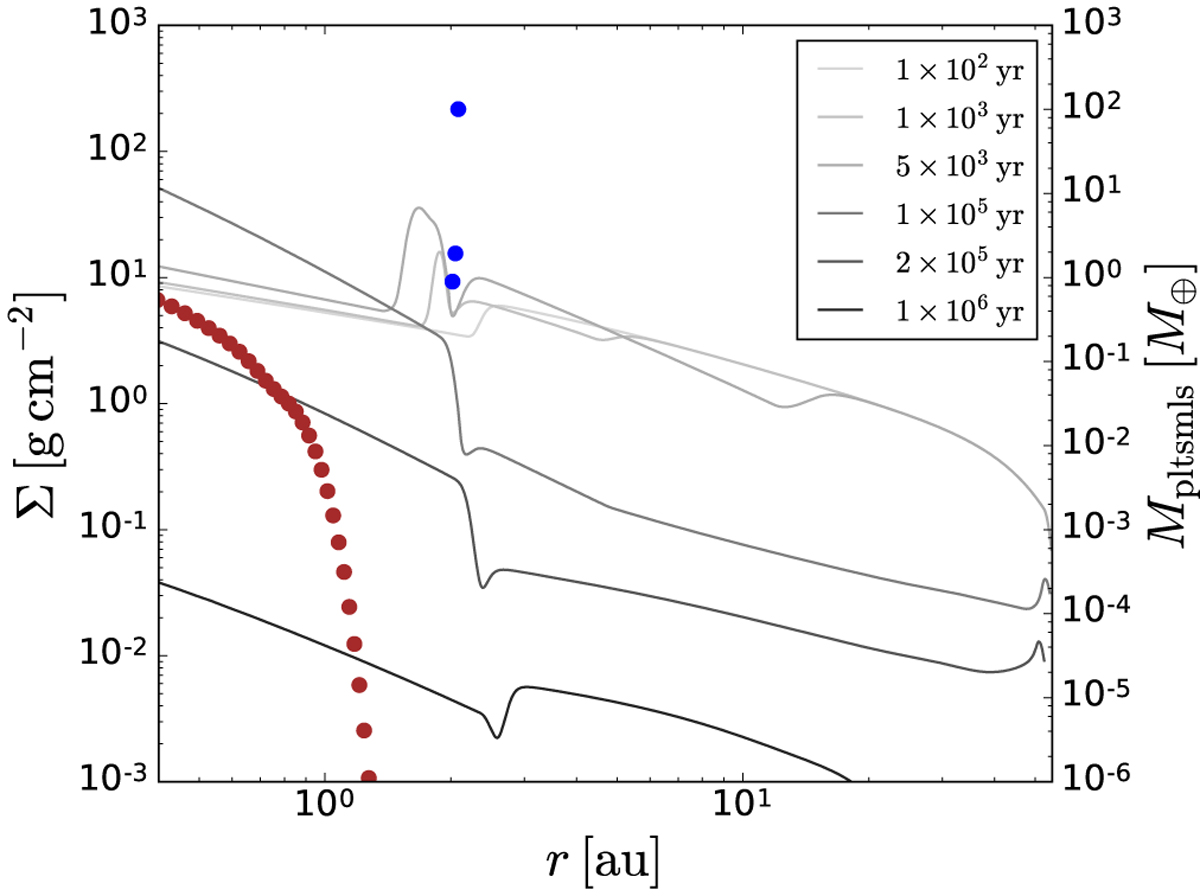
image

Results for model 1i where Z = 0.02 and planetesimal formation occurs not only outside the snowline, but also interior to it. The masses of the icy planetesimal super-particles are plotted in blue; the masses of the water-poor planetesimal super-particles are plotted in brown. A massive annulus of planetesimals forms outside the snowline. Interior to the snowline, a traffic-jam effect leads to a high solids-to-gasratio in the inner disk such that streaming instability is triggered by dry pebbles as well.

Current usage metrics show cumulative count of Article Views (full-text article views including HTML views, PDF and ePub downloads, according to the available data) and Abstracts Views on Vision4Press platform.

Data correspond to usage on the plateform after 2015. The current usage metrics is available 48-96 hours after online publication and is updated daily on week days.

Initial download of the metrics may take a while.