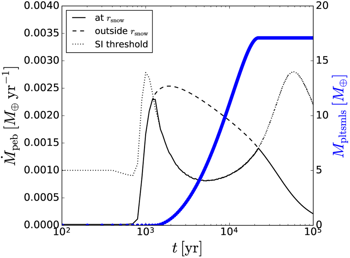
Fig. 13

Results for model 1l, which is the fiducial model but with icy fragmentation threshold vfrag,icy = 60 m s−1. In solid black: the pebble mass flux Ṁpeb that reachesthe snowline; in dashed black: the pebble mass flux outside the snowline that is available for planetesimal formation outside the snowline; and in dotted black the critical pebble mass flux needed for streaming instability outside the snowline, all as a function of time. The total mass in planetesimals is plotted in blue.
Current usage metrics show cumulative count of Article Views (full-text article views including HTML views, PDF and ePub downloads, according to the available data) and Abstracts Views on Vision4Press platform.
Data correspond to usage on the plateform after 2015. The current usage metrics is available 48-96 hours after online publication and is updated daily on week days.
Initial download of the metrics may take a while.