Free Access

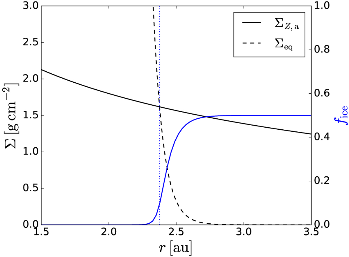
Fig. 4

image

Initial pebble ice fraction (blue solid line) as function of semi-major axis r for the fiducial model. The saturated water vapour profile Σeq is plotted by the black dashed line, and ΣZ,a (see text for more details) is given by the black solid line. The snowline is located where Σeq crosses ΣZ,a, in this case at rsnow ~ 2.4 au (blue dotted line).

Current usage metrics show cumulative count of Article Views (full-text article views including HTML views, PDF and ePub downloads, according to the available data) and Abstracts Views on Vision4Press platform.

Data correspond to usage on the plateform after 2015. The current usage metrics is available 48-96 hours after online publication and is updated daily on week days.

Initial download of the metrics may take a while.