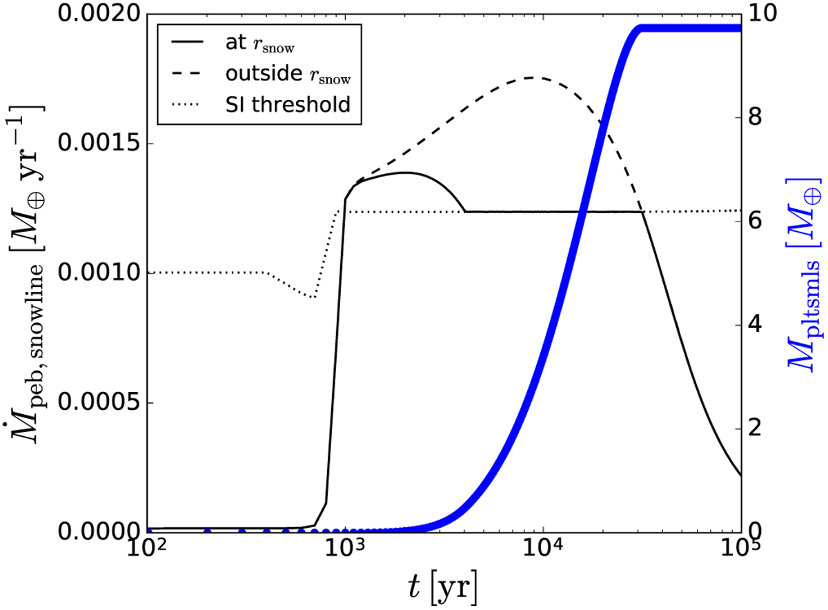
Fig. 8

Pebble mass flux Ṁpeb that arrives at the snowline rsnow in Earth masses per year, as a function of time t (solid black line), for the fiducial model (1a). The dashed black line corresponds to the pebble mass flux Ṁpeb that arrives at the planetesimal annulus outside rsnow. During the planetesimal formation phase, the pebble mass flux at the snowline is constant and equal to the pebble mass flux delivered by the “peak” outside the snowline Ṁpeb,crit (dotted line): the excess flux is converted to planetesimals. The total mass in planetesimals Mpltsmls is plotted inblue.
Current usage metrics show cumulative count of Article Views (full-text article views including HTML views, PDF and ePub downloads, according to the available data) and Abstracts Views on Vision4Press platform.
Data correspond to usage on the plateform after 2015. The current usage metrics is available 48-96 hours after online publication and is updated daily on week days.
Initial download of the metrics may take a while.