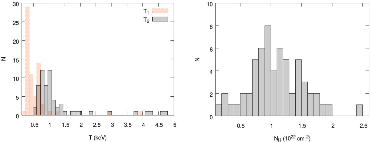
Fig. 6.

Left panel: distribution of mekal model temperatures, where T1 is the temperature of the external, colder gas component and T2 is the temperature of the internal, hotter gas component, for the CGII sample. Right panel: distribution of absorbing column densities associated with the inner, hotter gas component, for the CGII sample.
Current usage metrics show cumulative count of Article Views (full-text article views including HTML views, PDF and ePub downloads, according to the available data) and Abstracts Views on Vision4Press platform.
Data correspond to usage on the plateform after 2015. The current usage metrics is available 48-96 hours after online publication and is updated daily on week days.
Initial download of the metrics may take a while.