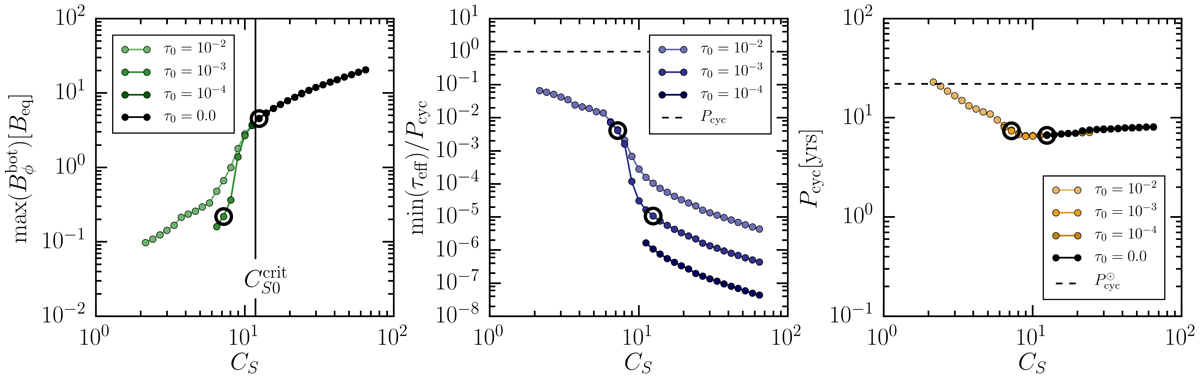
Fig. 7.

D-DIFF case. Saturation field strength (left panel), effective delay (middle panel), and cycle period (right panel) as functions of the source term amplitude CS for four different delays. Each line represents a series of runs for a given delay. The vertical solid line marks the critical for the nondelayed case. The circles identify solutions shown in Fig. 8.
Current usage metrics show cumulative count of Article Views (full-text article views including HTML views, PDF and ePub downloads, according to the available data) and Abstracts Views on Vision4Press platform.
Data correspond to usage on the plateform after 2015. The current usage metrics is available 48-96 hours after online publication and is updated daily on week days.
Initial download of the metrics may take a while.