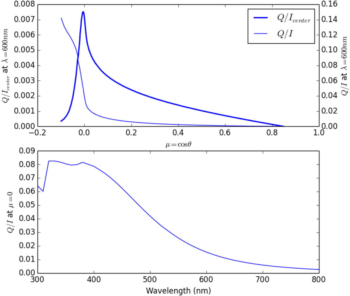
Fig. 1

Expected linear polarization rates in the continuum due to Rayleigh scattering in a model atmosphere adequate for Betelgeuse (Teff = 3750 K, log g = 0.5, M = 15M⊙, vt = 5 km s−1 and solar composition). Top panel: polarization rates at the fixed wavelentgh of 600 nm as a function of the angular distance μ = cosθ to disk centre. The envelope, beyond the stellar radius, is artificially shown with negative values of μ = cos θ. The thin line gives the actual polarization rate respect to the local intensity. The thick line gives the rate normalized to the intensity at the disk centre, providing a measure of the relative contribution to polarization the integrated polarization signal. Bottom panel: dependence of the polarization rate with wavelength at a fixed distance to disk centre μ = cos θ = 0.
Current usage metrics show cumulative count of Article Views (full-text article views including HTML views, PDF and ePub downloads, according to the available data) and Abstracts Views on Vision4Press platform.
Data correspond to usage on the plateform after 2015. The current usage metrics is available 48-96 hours after online publication and is updated daily on week days.
Initial download of the metrics may take a while.