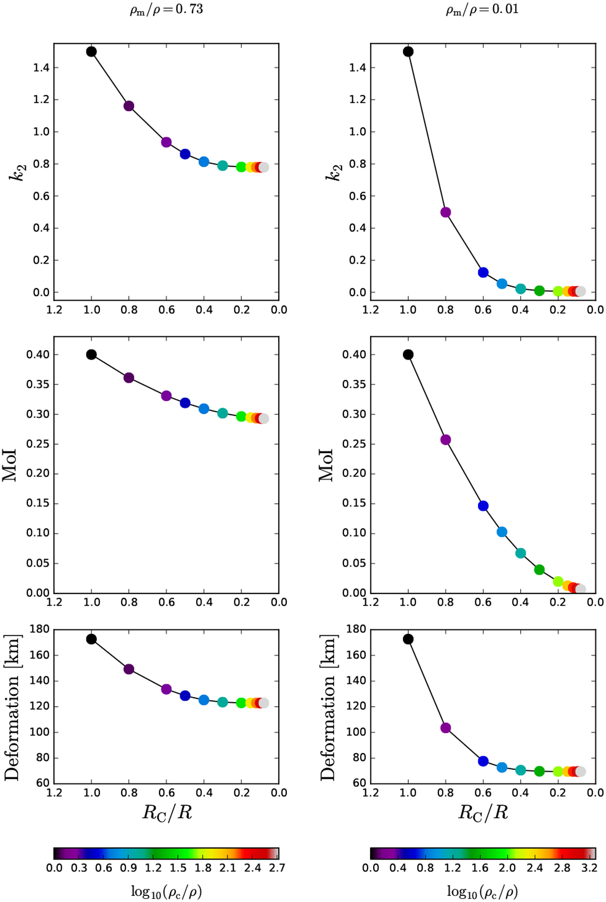
Fig. 3

Model of a planet with two constant density layers with M = 6.55 M⊕ and R = 2.68 R⊕. Values of k2 (first row), normalized moment of inertia MoI (second row), and maximum surface deformation (third row, assuming MS = 0.157 M⊙ and a = 0.0143 AU in Eq. (18)), for ρm∕ρ = 0.73 (left column), and for ρm∕ρ = 0.01 (right column). Colors indicate the normalized density of the core. The color bar is logarithmic.
Current usage metrics show cumulative count of Article Views (full-text article views including HTML views, PDF and ePub downloads, according to the available data) and Abstracts Views on Vision4Press platform.
Data correspond to usage on the plateform after 2015. The current usage metrics is available 48-96 hours after online publication and is updated daily on week days.
Initial download of the metrics may take a while.