Press Release
Free Access
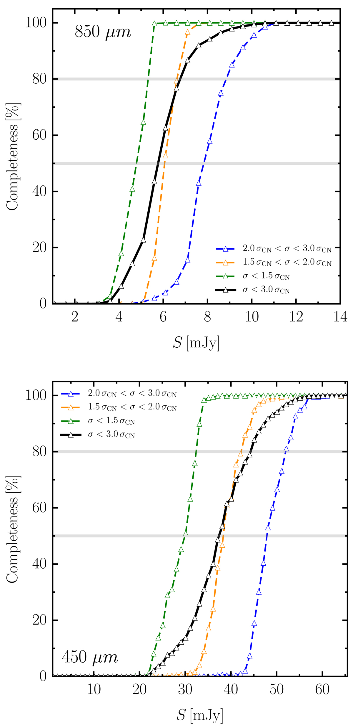
Fig. 3.

Top: completeness at 850 μm versus flux for different portions of the map, that is, 2σCN < σ < 3σCN, 1.5σCN < σ < 2σCN, σ < 1.5σCN, and < 3σCN (see Fig. 2). Bottom: same as above, but for the 450 μm dataset.
Current usage metrics show cumulative count of Article Views (full-text article views including HTML views, PDF and ePub downloads, according to the available data) and Abstracts Views on Vision4Press platform.
Data correspond to usage on the plateform after 2015. The current usage metrics is available 48-96 hours after online publication and is updated daily on week days.
Initial download of the metrics may take a while.