Free Access

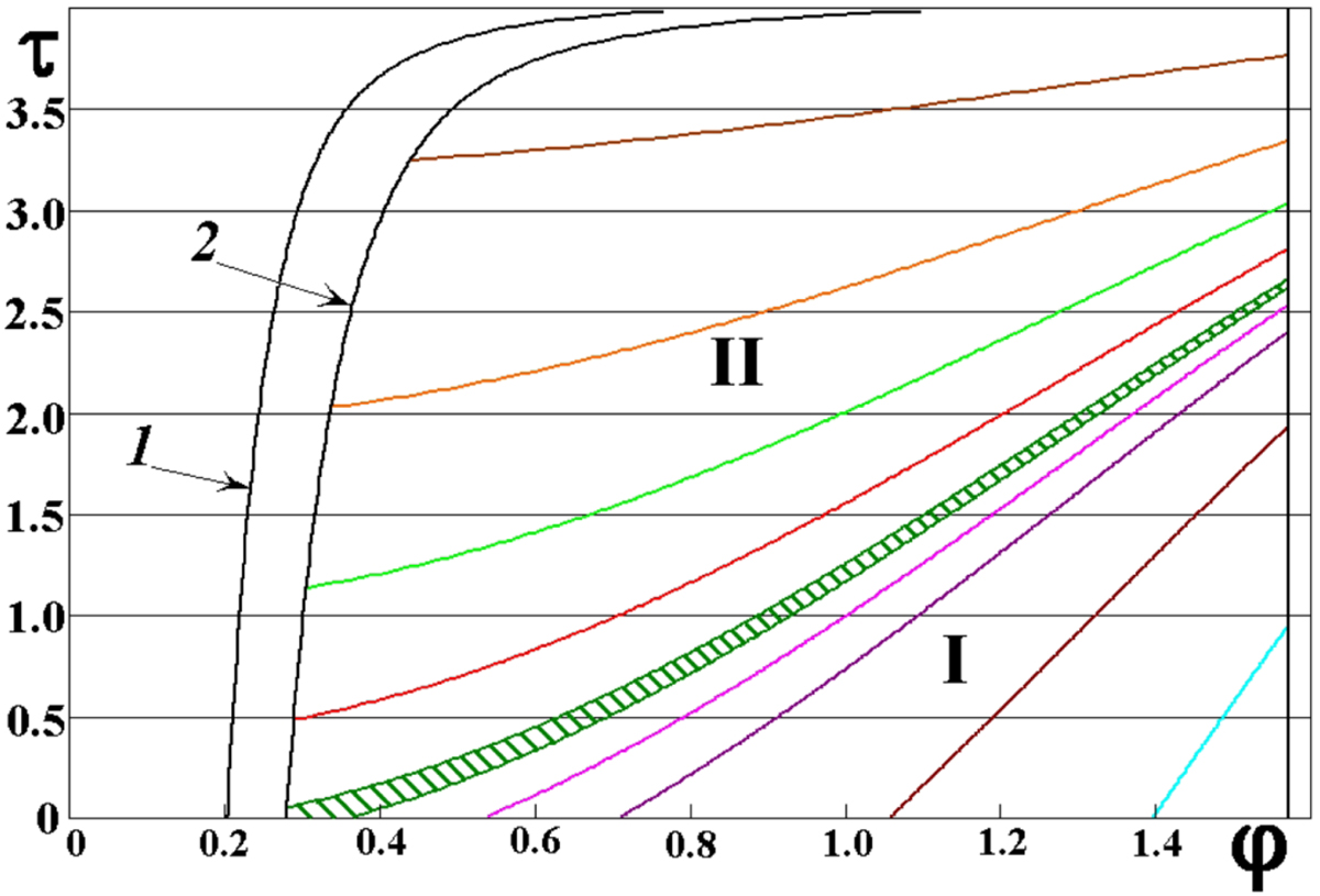
Fig. 3

image

Set of lines (coloured) on the plane of events for the iron meteoroid spraying; GI = 16.8, τspr = 4.06. Black line 1 – left boundary φ = φcr(τ) of unstable part of meteoroid surface; black line 2 – left boundary φ = φlt(τ) of spraying domain. Dashed green band shows the strip of integration, , for .

Current usage metrics show cumulative count of Article Views (full-text article views including HTML views, PDF and ePub downloads, according to the available data) and Abstracts Views on Vision4Press platform.

Data correspond to usage on the plateform after 2015. The current usage metrics is available 48-96 hours after online publication and is updated daily on week days.

Initial download of the metrics may take a while.