Free Access

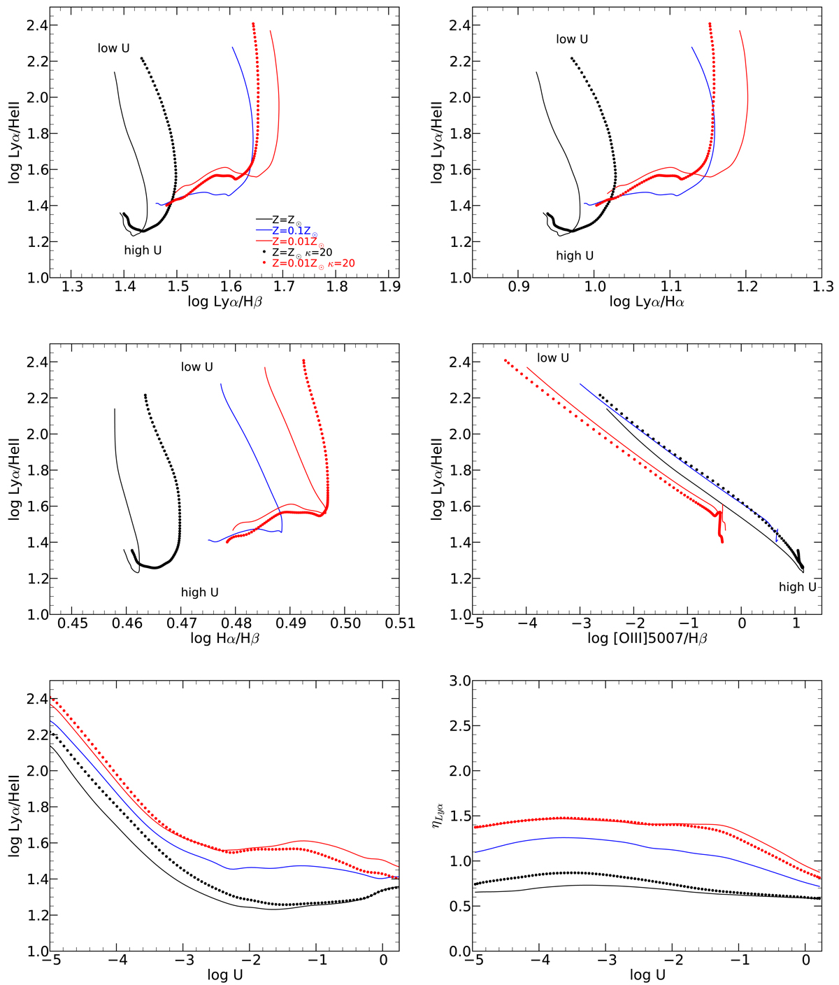
Fig. 2.

image

Selected sequences in U plotted for Lyα/HeII vs. Lyα/Hβ, Lyα/Hα, Hα/Hβ, or [OIII] λ5007/Hβ. Each sequence represents a progression in U, for each of the three values of Z. Also shown are sequences in U using κ = 20 for Z/Z = 0.01 and 1.0 (dotted curves). All models in this figure use power index α = −1.5. The lower two panels show Lyα/HeII vs. U (left) and the ratio of Lyα photons to ionizing photons (ηLyα; right) for the same model sequences. The model loci cover the range of ionization parameter −5 < log U < 0.25.

Current usage metrics show cumulative count of Article Views (full-text article views including HTML views, PDF and ePub downloads, according to the available data) and Abstracts Views on Vision4Press platform.

Data correspond to usage on the plateform after 2015. The current usage metrics is available 48-96 hours after online publication and is updated daily on week days.

Initial download of the metrics may take a while.