Free Access

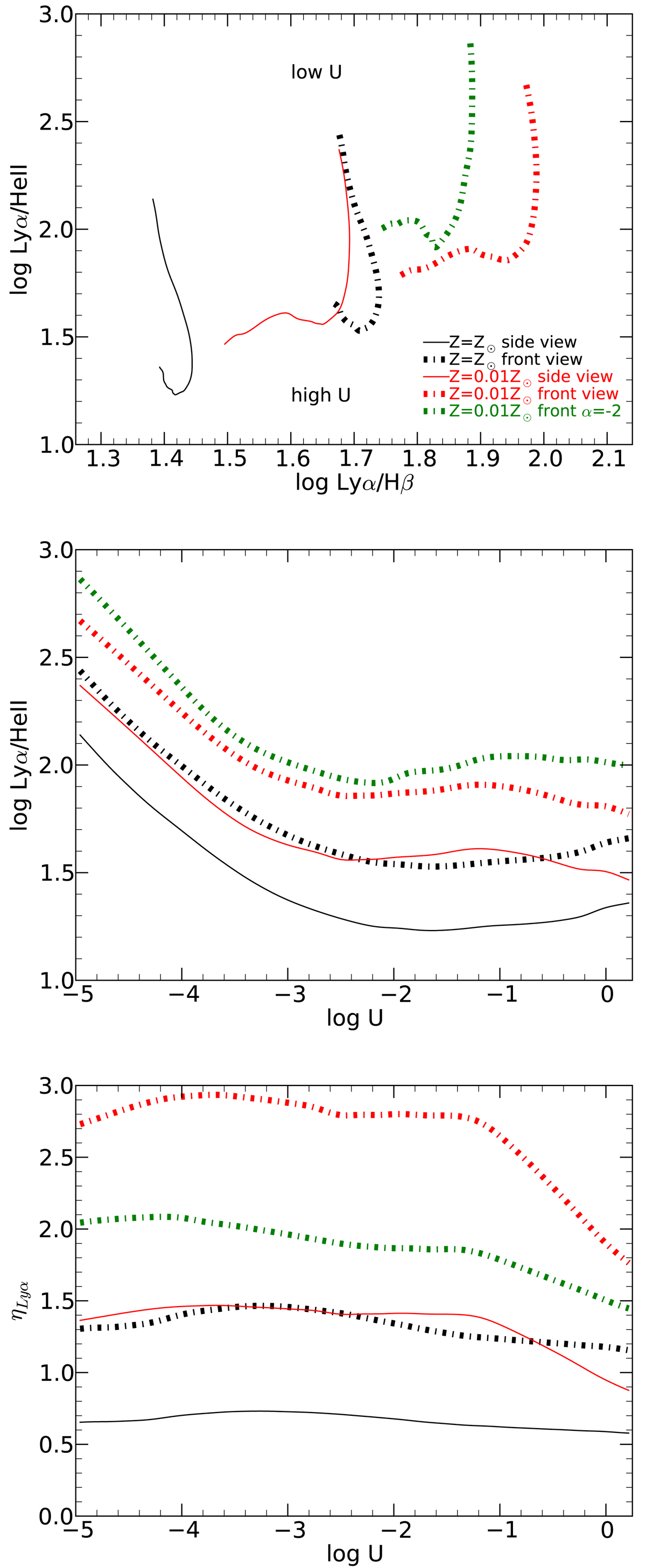
Fig. 4.

image

Impact of viewing angle on the observed Lyα/HeII, Lyα/Hβ and ηLyα values. The green curve shows the locus of our sequence in U using Z/Z = 0.01, α = −2.0 and the “front view”, to illustrate the combined effect of low U, low gas metallicity, a relatively soft ionizing continuum, and a “back-mirror”. The model loci cover the range of ionization parameter −5 < log U < 0.25.

Current usage metrics show cumulative count of Article Views (full-text article views including HTML views, PDF and ePub downloads, according to the available data) and Abstracts Views on Vision4Press platform.

Data correspond to usage on the plateform after 2015. The current usage metrics is available 48-96 hours after online publication and is updated daily on week days.

Initial download of the metrics may take a while.