Free Access

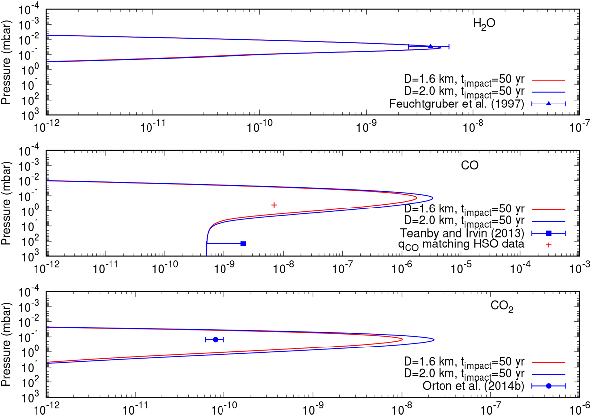
Fig. 7

image

Mixing ratio profiles of H2O, CO, and CO2 ~ 50 yr after a comet nucleus of size 1.6 and 2.0 km impacted Uranus. The evolution time is tuned to reproduce the water ISO observations, which in turn produces carbon monoxide and carbon dioxide clearly above the available measurements. Photochemical, condensation, turbulent transport with K(z) =5000 cm2 s−1, and molecular diffusion are taken into account.

Current usage metrics show cumulative count of Article Views (full-text article views including HTML views, PDF and ePub downloads, according to the available data) and Abstracts Views on Vision4Press platform.

Data correspond to usage on the plateform after 2015. The current usage metrics is available 48-96 hours after online publication and is updated daily on week days.

Initial download of the metrics may take a while.