Free Access

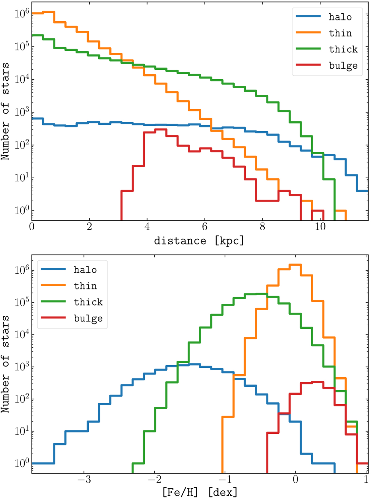
Fig. 1

image

Distance (top panel) and [Fe/H] (bottom panel) distributions for each of the Galactic components of the stars in the solar neighbourhood from the perfect GUMS sample. There are ~ 4784319 stars in thisdataset, 9240 of which are halo. The halo stars have a roughly constant distribution out to a distance of ~ 8 kpc from the Sun. While they span a large range of [Fe/H] value, the bottom panel shows that the halo stars are on average more metal-poor than stars belonging to the other Galactic components.

Current usage metrics show cumulative count of Article Views (full-text article views including HTML views, PDF and ePub downloads, according to the available data) and Abstracts Views on Vision4Press platform.

Data correspond to usage on the plateform after 2015. The current usage metrics is available 48-96 hours after online publication and is updated daily on week days.

Initial download of the metrics may take a while.