Open Access

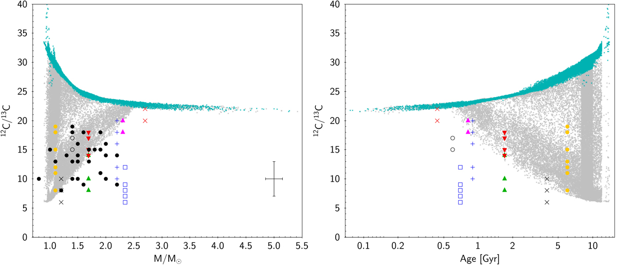
Fig. 12.

image

12C/13C as a function of stellar mass and ages for synthetic populations computed with the BGM with the effects of thermohaline instability (grey dots) and without (green dots). A sample of clump field stars are represented by black dots in the right panel, and nine clusters (Collinder 261, Melotte 66, NGC 6253, NGC 3960, NGC 2324, NGC 2477, NGC 2506, IC4651, NGC 6134) using different colours and symbols (see Table 1).

Current usage metrics show cumulative count of Article Views (full-text article views including HTML views, PDF and ePub downloads, according to the available data) and Abstracts Views on Vision4Press platform.

Data correspond to usage on the plateform after 2015. The current usage metrics is available 48-96 hours after online publication and is updated daily on week days.

Initial download of the metrics may take a while.