Free Access

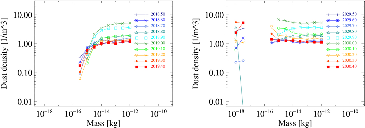
Fig. 10

image

Mass distribution in the ecliptic frame of reference over the course of one year, for a defocussing configuration of the ISM (left panel, 2018–2019) and for a focussing configuration of the ISM (right panel, 2029–2030). Since the three-dimensional flow configuration is virtually constant over these periods of 1 yr, the observed changes reflect the spatial variations of the mass distribution along the Earth orbit, in a similar way to the mass distributions for Saturn, Jupiter and asteroid distances in Sterken et al. (2013).

Current usage metrics show cumulative count of Article Views (full-text article views including HTML views, PDF and ePub downloads, according to the available data) and Abstracts Views on Vision4Press platform.

Data correspond to usage on the plateform after 2015. The current usage metrics is available 48-96 hours after online publication and is updated daily on week days.

Initial download of the metrics may take a while.