Free Access

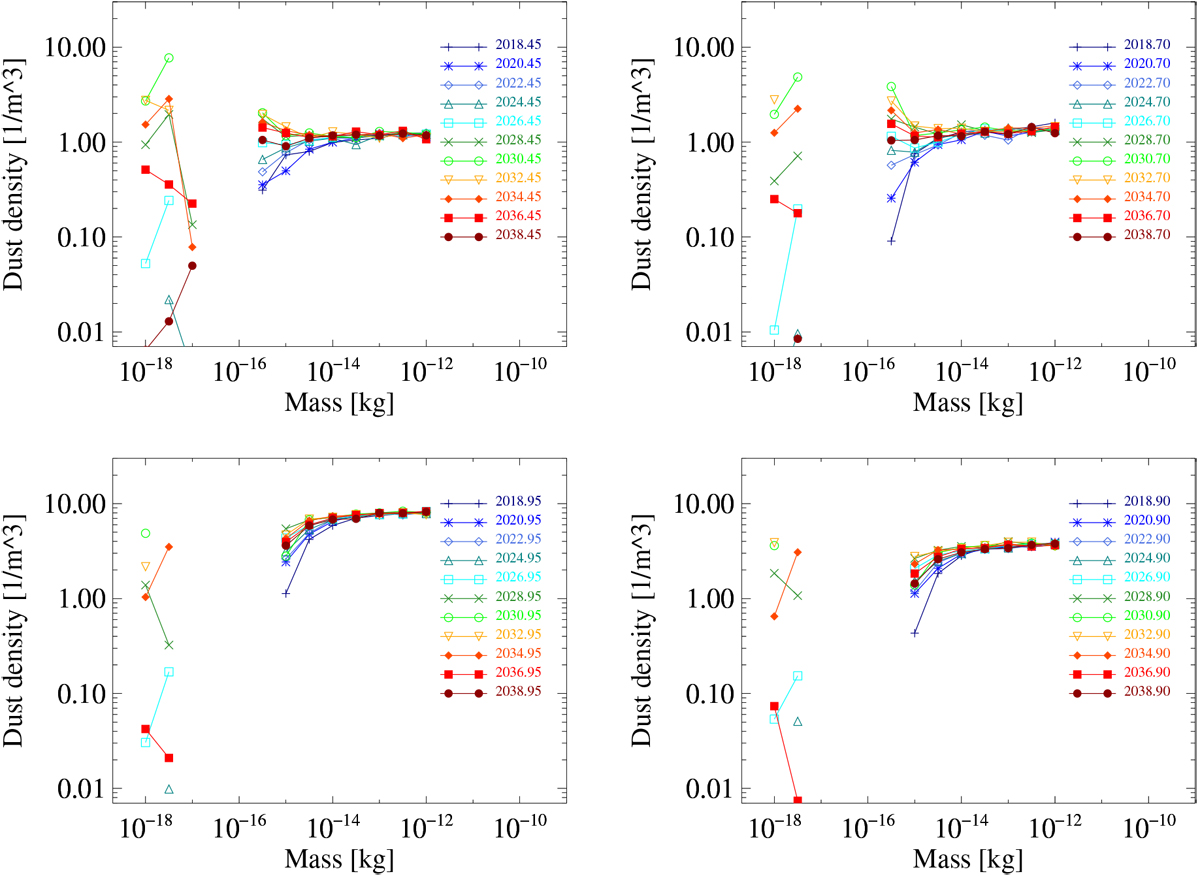
Fig. 11

image

Mass distribution over the whole 22-year solar cycle at four given points along the Earth’s orbit (compare to Sterken et al. 2013). Upper left panel: upstream of the Sun. Upper right panel: at an angle of 90° between upstream and downstream position. Lower left panel: downstream of the Sun, inside the spot of maximum focussing. Lower right panel: 18° away from the downstream direction, outside the strongly localised spot of maximum focussing. The variations seen in each panel reflectthe changes due to the focussing/defocussing effects of the IMF throughout the solar cycle.

Current usage metrics show cumulative count of Article Views (full-text article views including HTML views, PDF and ePub downloads, according to the available data) and Abstracts Views on Vision4Press platform.

Data correspond to usage on the plateform after 2015. The current usage metrics is available 48-96 hours after online publication and is updated daily on week days.

Initial download of the metrics may take a while.