Free Access

Fig. 2

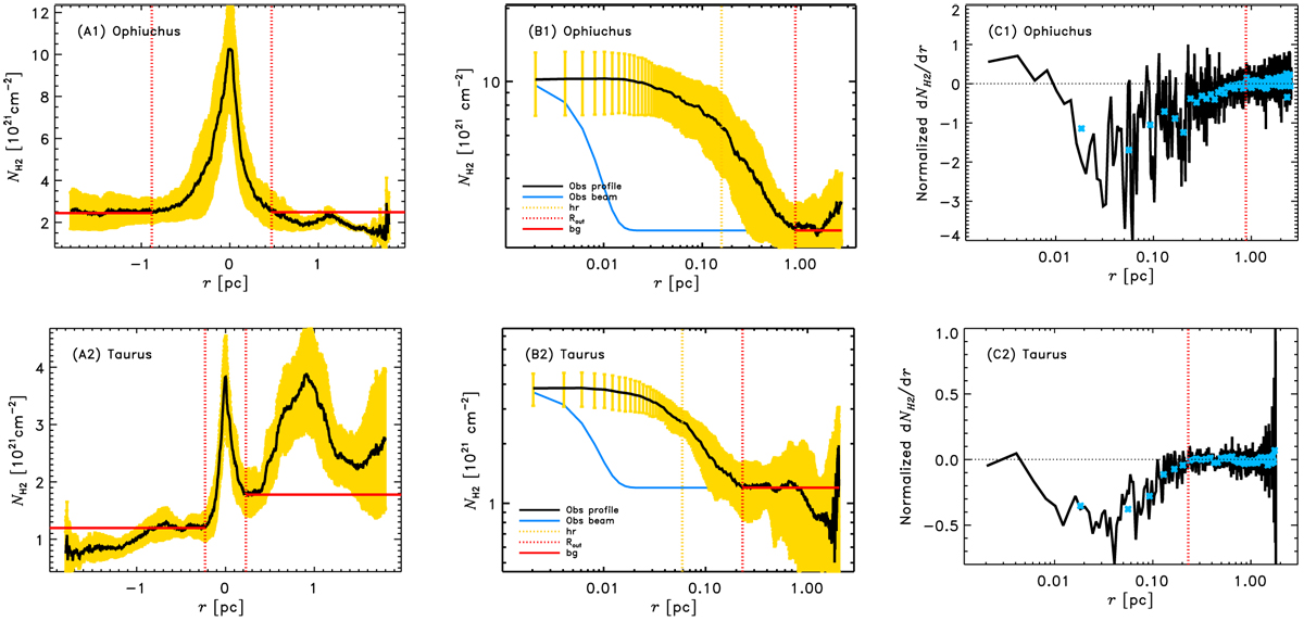
image

Fromleft to right columns: median radial column density profile observed on either side of the filament axis in lin-lin format (panels A), median radial column density profile on the left-hand side of the crest (i.e., r < 0 in A1 andA2) in log-log format (panels B), and panels C: logarithmic slope of the column density profile () as a function of radius from the central crest, for a filament in the Ophiuchus cloud (top three panels, A1, B1, C1) and a filament in the Taurus cloud (bottom three panels, A2, B2, C2). In Cols. A and B, the yellow area/error bars correspond to the median absolute deviation (mad(r)) of the distributions of independent cuts taken perpendicular to the filament crest (see Sect. 3.1). In Col. A, the outer radii (vertical dotted red line) and the background column densities (horizontal red line) are marked. In Col. B, the observational beam of 18.2′′ (blue curve), the outer radius (vertical dotted red line), the background column density (horizontal red line), and the half power radius hr (vertical dotted yellow line) are shown. As explained in Sect. 3.2, the values of , , and hr± were derived from the data independently on either side of the filament crest, using the logarithmic slope plot Col. C smoothed over 3 × HPBW. In Col. C, the black solid curve represents the logarithmic slope profile at the original resolution, while the blue symbols show the logarithmic slope profile smoothed over 3 × HPBW; the red dotted vertical line marks the derived outer radius , and the black dotted horizontal line marks a zero slope (flat column density profile).

Current usage metrics show cumulative count of Article Views (full-text article views including HTML views, PDF and ePub downloads, according to the available data) and Abstracts Views on Vision4Press platform.

Data correspond to usage on the plateform after 2015. The current usage metrics is available 48-96 hours after online publication and is updated daily on week days.

Initial download of the metrics may take a while.