Free Access

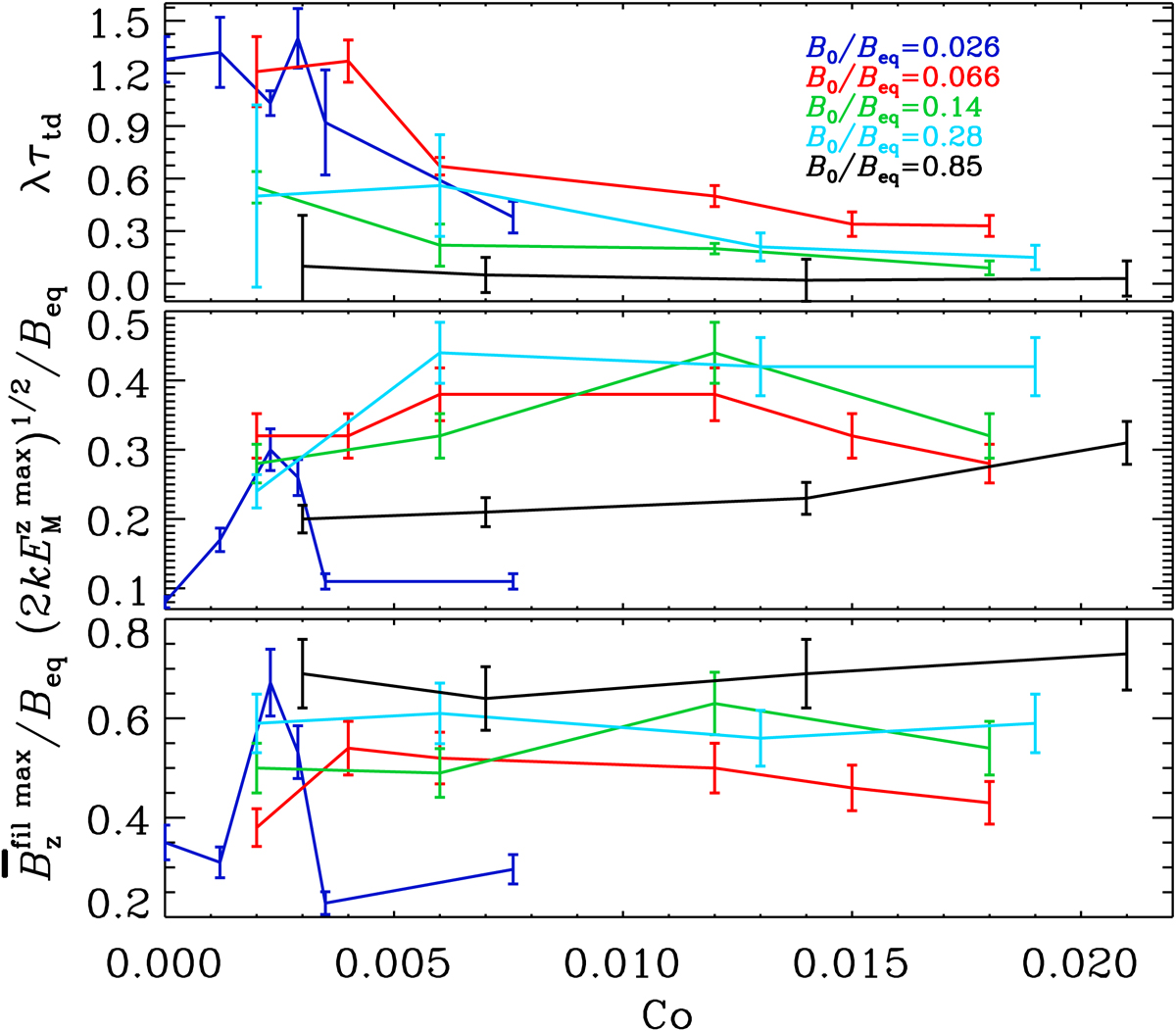
Fig. 10.

image

Rotational dependency of the growth rate λ, the peak spectral magnetic field , and the maximum of the Fourier-filtered vertical magnetic field for various averaged imposed magnetic field strengths B0/Beq0 = 0.026 (blue line), 0.066 (red), 0.14 (green), 0.28 (cyan), and 0.85 (black). Error bars denote either the errors of the exponential fit (λ; see Table 2), or are estimated as 10% of the actual value.

Current usage metrics show cumulative count of Article Views (full-text article views including HTML views, PDF and ePub downloads, according to the available data) and Abstracts Views on Vision4Press platform.

Data correspond to usage on the plateform after 2015. The current usage metrics is available 48-96 hours after online publication and is updated daily on week days.

Initial download of the metrics may take a while.