Free Access

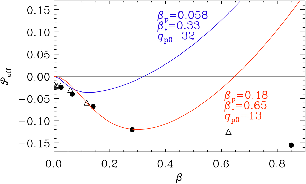
Fig. 13.

image

Dependence of obtained from Fig. 12 by taking an average for different values of Co (filled circles). The blue line is our standard representation for qp0 = 32 and βp = 0.058, which corresponds to β = 0.33, while the red line is a better fit to the present data giving qp0 = 13 and βp = 0.18, which corresponds to β = 0.65. We note that the data point at β = 0.85 and is well outside any curve that could fit all the data and has therefore been discarded as an “outlier”. As a comparison, we plot the values of Warnecke et al. (2016a) as triangles.

Current usage metrics show cumulative count of Article Views (full-text article views including HTML views, PDF and ePub downloads, according to the available data) and Abstracts Views on Vision4Press platform.

Data correspond to usage on the plateform after 2015. The current usage metrics is available 48-96 hours after online publication and is updated daily on week days.

Initial download of the metrics may take a while.