Free Access

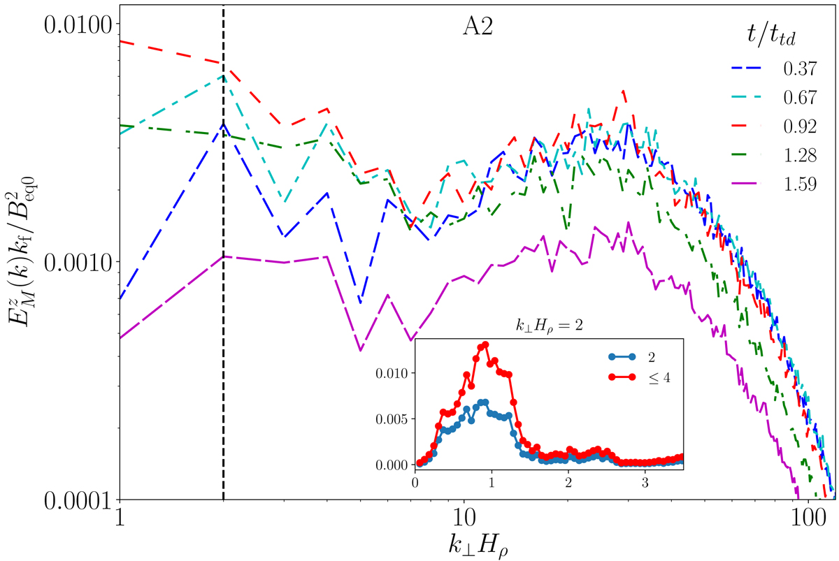
Fig. 5.

image

Power spectra of Bz at the surface (z = 0) for Run A2 at several times around the maximum growth for zero rotation. The inset shows the time dependence (time in units of τtd) for k = k = 2 k1 and for the values averaged between k/k1 = 1 and 4.

Current usage metrics show cumulative count of Article Views (full-text article views including HTML views, PDF and ePub downloads, according to the available data) and Abstracts Views on Vision4Press platform.

Data correspond to usage on the plateform after 2015. The current usage metrics is available 48-96 hours after online publication and is updated daily on week days.

Initial download of the metrics may take a while.