Free Access

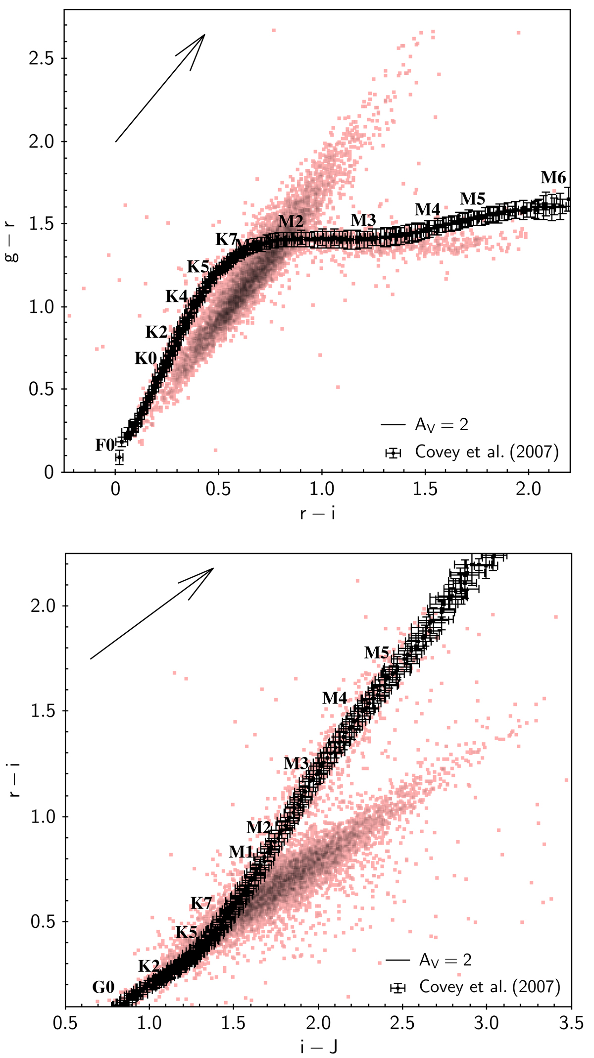
Fig. 1.

image

Upper panel: gr versus ri color locus of stars extracted from a 1° × 1° field around the NGC 2264 cluster (photometry from Venuti et al. 2014). The expected color properties of MS dwarfs as a function of their spectral type, and the associated uncertainties, are traced and labeled following Covey et al. (2007) to guide the eye. Lower panel: ri versus iJ color locus for the same population of stars shown in the upper panel. The J-band photometry is extracted from 2MASS.

Current usage metrics show cumulative count of Article Views (full-text article views including HTML views, PDF and ePub downloads, according to the available data) and Abstracts Views on Vision4Press platform.

Data correspond to usage on the plateform after 2015. The current usage metrics is available 48-96 hours after online publication and is updated daily on week days.

Initial download of the metrics may take a while.